【答案】
分析:本题考查的是数列与不等式的综合类问题.在解答时:
(Ⅰ)首先由b
n=a
2n可推得:

从而获得数列{b
n}是首项和公比都为

的等比数列,进而用等比数列的通项公式即可获得问题的解答;
(Ⅱ)利用第一问的结论再结合等比数列的前n项和公式可得:

(n≥2).又因为:对任意n∈N*且n≥2,不等式λ≥1+S
n-1恒成立,
则λ大于等于1+S
n-1的最大值,故λ的取值范围是即可解答;
(Ⅲ)首先利用第一问的结论对C
n进行化简,然后利用作差法即可获得数列在不同范围上的单调性,进而求得数列{c
n}的最大值.
解答:解:(Ⅰ)因为b
n=a
2n,由已知可得,

=

.
又a
1=1,则

.
所以数列b
n是首项和公比都为

的等比数列,
故

.
∴数列{b
n}为等比数列,并求其通项公式为:

.
(Ⅱ)因为

=

(n≥2).
若对任意n∈N*且n≥2,不等式λ≥1+S
n-1恒成立,
则λ≥2,故λ的取值范围是[2,+∞).
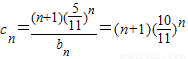
(Ⅲ)因为

,则

=

.
当n<9时,c
n+1-c
n>0,即c
n<c
n+1;
当n=9时,c
n+1-c
n=0,即c
n=c
n+1;
当n>9时,c
n+1-c
n<0,即c
n>c
n+1.
所以数列c
n的最大项是c
9或c
10,
且

,故

.
点评:本题考查的是数列与不等式的综合类问题.在解答的过程当中充分体现了计算转化的能力、恒成立问题的解答能力以及定义法证明函数单调性的知识.同时作差法、放缩法在题目当中也得到了充分的体现.值得同学们体会反思.