精英家教网 > 高中数学 > 题目详情
在△ABC中,角A,B,C所对的边分别为a,b,c,向量,n=(sinA,-1),且m⊥n.
(Ⅰ)求角A的大小;(Ⅱ)若a=2,,求b的值.
【答案】分析:(1)由“m⊥n”得出两向量的坐标关系,进而求得角A;
(2)结合(1)中求出的值,利用三角形中的正弦定理求边b.
解答:解:满分(12分).
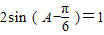
(Ⅰ)由m⊥n,得m•n=0,即.(3分)
所以,即
因为0<A<π,所以.(6分)
(Ⅱ)由,得.(8分)
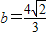
依正弦定理,得,即.(10分)
解得,.(12分)
点评:本题主要考查向量、三角函数的基础知识,同时考查根据相关公式合理变形、正确运算的能力.第(2)小问中,必须注意利用好三角形中的正余弦定理.
练习册系列答案
相关习题

科目:高中数学 来源: 题型:

在△ABC中,角A、B、C所对的边分别为a,b,c,若b2+c2-a2=
3
bc
,且b=
3
a
,则下列关系一定不成立的是(  )
A、a=c
B、b=c
C、2a=c
D、a2+b2=c2

查看答案和解析>>

科目:高中数学 来源: 题型:

在△ABC中,角A,B,C的对边分别为a,b,c,已知B=60°,cos(B+C)=-
1114

(1)求cosC的值;
(2)若bcosC+acosB=5,求△ABC的面积.

查看答案和解析>>

科目:高中数学 来源: 题型:

在△ABC中,角A,B,C的对边分别是a,b,c,且bsinA=
3
acosB

(1)求角B的大小;
(2)若a=4,c=3,D为BC的中点,求△ABC的面积及AD的长度.

查看答案和解析>>

科目:高中数学 来源: 题型:

在△ABC中,角A、B、C所对的边分别为a、b、c并且满足
b
a
=
sinB
cosA

(1)求∠A的值;
(2)求用角B表示
2
sinB-cosC
,并求它的最大值.

查看答案和解析>>

科目:高中数学 来源: 题型:

在△ABC中,角A,B,C所对边的长分别为a,b,c,且a=
5
,b=3,sinC=2sinA
,则sinA=
 

查看答案和解析>>

同步练习册答案