【答案】
分析:(I)利用条件a
1+a
2+a
3+…+a
n=n-a
n,n=1,2,3可求;
(Ⅱ)再写一式a
1+a
2+a
3++a
n+a
n+1=n+1-a
n+1与已知条件相减可得2a
n+1-a
n=1,即2a
n+1=a
n+1,从而有

,所以可证数列{a
n-1}是等比数列;
(Ⅲ)由(II)可得

,进而可得数列{b
n}的通项.考查其单调性,从而求得最大值,故可求实数t的取值范围.
解答:解:(I)

..(3分)
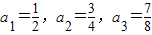
(II)由题可知:a
1+a
2+a
3++a
n-1+a
n=n-a
n①a
1+a
2+a
3++a
n+a
n+1=n+1-a
n+1②
②-①可得2a
n+1-a
n=1..(5分)
即:

,又

..(7分)
所以数列{a
n-1}是以

为首项,以

为公比的等比数列(8分)
(Ⅲ)由(II)可得

,(9分)

(10分)
由

可得n<3
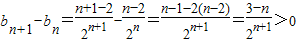
由b
n+1-b
n<0可得n>3(11分)
所以b
1<b
2<b
3=b
4>b
5>>b
n>
故{b
n}有最大值

所以,对任意n∈N
*,有

(12分)
如果对任意n∈N
*,都有

,即

成立,
则

,故有:

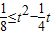
,(13分)
解得

或

所以,实数t的取值范围是

(14分)
点评:本题主要考查递推关系式的运用,考查利用构造法证明数列是等比数列,在(Ⅲ)中,要通过研究数列{b
n}的通项,考查其单调性,从而利用最值法解决恒成立问题,这也是一种常用方法.