精英家教网 > 高中数学 > 题目详情
已知数列{an}的前n项和为Sn,a1=1,an+1=3Sn(n∈N*).
(Ⅰ)求数列{an}的通项公式;
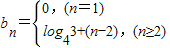
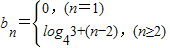
(Ⅱ)若bn=log4an,试比较•的大小.
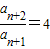
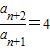
【答案】分析:(Ⅰ) 由an+1=3Sn,得an+2=3Sn+1,故an+2-an+1=3an+1,整理得 (n∈N*),由此能求出数列{an}的通项公式.(2),故n=1,b1==0;n≥2,++(n-2)(n-1)+,由此能比较的大小.
解答:解:(Ⅰ) 由an+1=3Sn(1),
得an+2=3Sn+1(2)
(2)-(1)得 an+2-an+1=3an+1
整理得 (n∈N*
∴数列a2,a3,a4,…,an,…是以4为公比的等比数列.
其中,a2=3S1=3a1=3,
所以,…(5分)
(2)∵,bn=log4an

∴n=1,b1==0
n≥2,++(n-2)(n-1)+
=-1+(n-1)]

…(12分)
点评:本题考查通项公式的证明和比较大小,考查数列、不等式知识,考查化归与转化、分类与整合的数学思想,培养学生的抽象概括能力、推理论证能力、运算求解能力和创新意识.
练习册系列答案
相关习题

科目:高中数学 来源: 题型:

19、已知数列{an}的前n项和Sn=n2(n∈N*),数列{bn}为等比数列,且满足b1=a1,2b3=b4
(1)求数列{an},{bn}的通项公式;
(2)求数列{anbn}的前n项和.

查看答案和解析>>

科目:高中数学 来源: 题型:

已知数列{an}的前n项和Sn=an2+bn(a、b∈R),且S25=100,则a12+a14等于(  )
A、16B、8C、4D、不确定

查看答案和解析>>

科目:高中数学 来源: 题型:

已知数列{an}的前n项和Sn=n2+n+1,那么它的通项公式为an=
 

查看答案和解析>>

科目:高中数学 来源: 题型:

13、已知数列{an}的前n项和为Sn=3n+a,若{an}为等比数列,则实数a的值为
-1

查看答案和解析>>

科目:高中数学 来源: 题型:

已知数列{an}的前n项和Sn满足Sn+1=kSn+2,又a1=2,a2=1.
(1)求k的值及通项公式an
(2)求Sn

查看答案和解析>>

同步练习册答案