【答案】
分析:法一:(1)连接AC,AC交BD于O,连接EO要证明PA∥平面EDB,只需证明直线PA平行平面EDB内的直线EO;
(2)要证明PB⊥平面EFD,只需证明PB垂直平面EFD内的两条相交直线DE、EF,即可;
(3)必须说明∠EFD是二面角C-PB-D的平面角,然后求二面角C-PB-D的大小.
法二:如图所示建立空间直角坐标系,D为坐标原点,设DC=a.
(1)连接AC,AC交BD于G,连接EG,求出

,即可证明PA∥平面EDB;
(2)证明EF⊥PB,

,即可证明PB⊥平面EFD;
(3)求出

,利用

,求二面角C-PB-D的大小.
解答:
解:方法一:
(1)证明:连接AC,AC交BD于O,连接EO.
∵底面ABCD是正方形,∴点O是AC的中点
在△PAC中,EO是中位线,∴PA∥EO
而EO?平面EDB且PA?平面EDB,
所以,PA∥平面EDB
(2)证明:
∵PD⊥底面ABCD且DC?底面ABCD,∴PD⊥DC
∵PD=DC,可知△PDC是等腰直角三角形,而DE是斜边PC的中线,
∴DE⊥PC.①
同样由PD⊥底面ABCD,得PD⊥BC.
∵底面ABCD是正方形,有DC⊥BC,∴BC⊥平面PDC.
而DE?平面PDC,∴BC⊥DE.②
由①和②推得DE⊥平面PBC.
而PB?平面PBC,∴DE⊥PB
又EF⊥PB且DE∩EF=E,所以PB⊥平面EFD.
(3)解:由(2)知,PB⊥DF,故∠EFD是二面角C-PB-D的平面角.
由(2)知,DE⊥EF,PD⊥DB.
设正方形ABCD的边长为a,
则


,


.
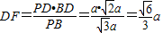
在Rt△PDB中,

.
在Rt△EFD中,

,∴

.
所以,二面角C-PB-D的大小为

.

方法二:如图所示建立空间直角坐标系,D为坐标原点,设DC=a.
(1)证明:连接AC,AC交BD于G,连接EG.
依题意得

.
∵底面ABCD是正方形,∴G是此正方形的中心,故点G的坐标为

且

.
∴

,这表明PA∥EG.
而EG?平面EDB且PA?平面EDB,∴PA∥平面EDB.
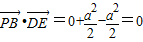
(2)证明;依题意得B(a,a,0),

.
又

,故

.
∴PB⊥DE.
由已知EF⊥PB,且EF∩DE=E,所以PB⊥平面EFD.
(3)解:设点F的坐标为(x
,y
,z
),

,则(x
,y
,z
-a)=λ(a,a,-a).
从而x
=λa,y
=λa,z
=(1-λ)a.所以

.
由条件EF⊥PB知,

,即

,解得

∴点F的坐标为

,且

,

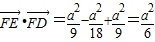
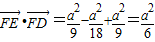
∴

即PB⊥FD,故∠EFD是二面角C-PB-D的平面角.
∵

,且

,

,
∴

.
∴

.
所以,二面角C-PB-D的大小为

.
点评:本小题考查直线与平面平行,直线与平面垂直,二面角等基础知识,考查空间想象能力和推理论证能力.