精英家教网 > 高中数学 > 题目详情
设Sn是等差数列{an}的前n项和,已知a2=3,a6=11,则S7等于( )
A.13
B.35
C.49
D.63
【答案】分析:根据等差数列的性质可知项数之和相等的两项之和相等即a1+a7=a2+a6,求出a1+a7的值,然后利用等差数列的前n项和的公式表示出S7,将a1+a7的值代入即可求出.
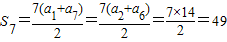
解答:解:因为a1+a7=a2+a6=3+11=14,
所以
故选C.
点评:此题考查学生掌握等差数列的性质及前n项和的公式,是一道基础题.
练习册系列答案
相关习题

科目:高中数学 来源: 题型:

有以下四个命题:
①对于任意实数a、b、c,若a>b,c≠0,则ac>bc;
②设Sn 是等差数列{an}的前n项和,若a2+a6+a10为一个确定的常数,则S11也是一个确定的常数;
③关于x的不等式ax+b>0的解集为(-∞,1),则关于x的不等式
bx-ax+2
>0的解集为(-2,-1);
④对于任意实数a、b、c、d,若a>b>0,c>d则ac>bd.
其中正确命题的是
 
(把正确的答案题号填在横线上)

查看答案和解析>>

科目:高中数学 来源: 题型:

设Sn是等差数列{an}的前n项和,S3=3(a2+a8),则
a3
a5
的值为(  )
A、
1
6
B、
1
3
C、
3
5
D、
5
3

查看答案和解析>>

科目:高中数学 来源: 题型:

设Sn是等差数列{an}的前n项和,a12=-8,S9=-9,则S16=(  )

查看答案和解析>>

科目:高中数学 来源: 题型:

设Sn是等差数列{an}的前n项和,且a4=-4,a9=4,则(  )

查看答案和解析>>

科目:高中数学 来源: 题型:

(2013•青岛一模)设Sn是等差数列{an}的前n项和,a1=2,a5=3a3,则S9=(  )

查看答案和解析>>

同步练习册答案