精英家教网 > 高中数学 > 题目详情
在梯形ABCD中,AB∥CD,AB=2CD,M,N分别是CD,AB的中点,设==.若=m+n,则=( )
A.
B.-4
C.
D.4
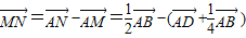
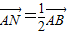
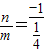
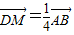
【答案】分析:根据题意,得到,从而算出,结合得到==m+n,由此可得m=且n=-1,可得的值.
解答:解:∵梯形ABCD中,AB∥CD,AB=2CD,M,N分别是CD,AB的中点,


可得=
==.∴==m+n
可得m=,n=-1,=-4
故选:B
点评:本题在梯形中求向量的线性表达式,着重考查了梯形的性质、向量的加减法法则和平面向量基本定理及其意义等知识点,属于中档题.
练习册系列答案
相关习题

科目:高中数学 来源: 题型:

精英家教网如图,在梯形ABCD中,AB∥CD,AD=DC=CB=a,.∠ABC=60°,平面ACFE⊥平面ABCD,四边形ACFE是矩形,AE=a,点M在线段EF上.
(1)求证:BC⊥平面ACFE;
(2)当EM为何值时,AM∥平面BDF?证明你的结论;
(3)求二面角B-EF-D的平面角的余弦值.

查看答案和解析>>

科目:高中数学 来源: 题型:

在梯形ABCD中,AB∥CD,AB=2CD,M,N分别是CD,AB的中点,设
AB
=
a
AD
=
b
.若
MN
=m
a
+n
b
,则
n
m
=(  )

查看答案和解析>>

科目:高中数学 来源:高中新教材同步教学·高一数学 题型:013

如图,在梯形ABCD中,=a=b=c=d,E、F分别为AB、CD的中点,则下列表达中成立的是

[  ]

A.=(abcd)
B.=(abcd)
C.=(cdab)
D.=(abcd)

查看答案和解析>>

科目:高中数学 来源: 题型:013

如图,在梯形ABCD中,=a=b=c=d,E、F分别为AB、CD的中点,则下列表达中成立的是

[  ]

A.=(abcd)
B.=(abcd)
C.=(cdab)
D.=(abcd)

查看答案和解析>>

科目:高中数学 来源: 题型:

如下图,在梯形ABCD中,=a=b=c,=d,E、F分别为AB、CD的中点,则下列表达中成立的是(    )

A.=a+b+c+d)                   B.=c+d-a-b

C.=a+b-c-d)                     D.=a-b+c-d

查看答案和解析>>

同步练习册答案