精英家教网 > 高中数学 > 题目详情
已知函数f(x)=ln(ax+1)+-1(x≥0,a>0).
(1)若f(x)在x=1处取得极值,求a的值;
(2)求f(x)的单调区间;
(3)若a=1且b<0,函数,若对于?x1∈(0,1),总存在x2∈(0,1)使得f(x1)=g(x2),求实数b的取值范围.
【答案】分析:(1)求导函数,利用(x)在x=1处取得极值,可得f′(1)=0,从而可求a的值;
(2)求导函数,分类讨论,利用导数的正负,即可求f(x)的单调区间;
(3)分别求出f(x),g(x)的值域,利用值域之间的包含关系,即可得到结论.
解答:解:(1)求导函数,可得
∵若f(x)在x=1处取得极值,
∴f′(1)=0,
∴2a-2=0,∴a=1;
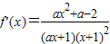
(2)∵(a>0,x≥0)
若a≥2,x≥0,则f′(x)>0,即f(x)在(0,+∞)上单调递增;
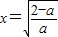
若0<a<2,令f′(x)=0,可得或-(舍去)
x,+∞)
f′(x)-+
f(x)
∴f(x)在上是减函数,在(,+∞)上是增函数;
(3)a=1,由(2)得f(x)在(0,1)上是减函数,
∴ln2<f(x)<1,即f(x)的值域A=(ln2,1),
又g′(x)=b(x-1)(x+1)
∵b<0,∴x∈(0,1)时,g′(x)>0
∴g(x)在(0,1)上单调递增
∴g(x)的值域B=(0,-
∵?x1∈(0,1),总存在x2∈(0,1)使得f(x1)=g(x2),
∴A⊆B


点评:本题考查导数知识的运用,考查函数的单调性,考查学生分析解决问题的能力,正确转化是关键.
练习册系列答案
相关习题

科目:高中数学 来源: 题型:

已知函数f(x)=2x-2+ae-x(a∈R)
(1)若曲线y=f(x)在点(1,f(1))处的切线平行于x轴,求a的值;
(2)当a=1时,若直线l:y=kx-2与曲线y=f(x)在(-∞,0)上有公共点,求k的取值范围.

查看答案和解析>>

科目:高中数学 来源: 题型:

已知函数f(x)=x2+2|lnx-1|.
(1)求函数y=f(x)的最小值;
(2)证明:对任意x∈[1,+∞),lnx≥
2(x-1)
x+1
恒成立;
(3)对于函数f(x)图象上的不同两点A(x1,y1),B(x2,y2)(x1<x2),如果在函数f(x)图象上存在点M(x0,y0)(其中x0∈(x1,x2))使得点M处的切线l∥AB,则称直线AB存在“伴侣切线”.特别地,当x0=
x1+x2
2
时,又称直线AB存在“中值伴侣切线”.试问:当x≥e时,对于函数f(x)图象上不同两点A、B,直线AB是否存在“中值伴侣切线”?证明你的结论.

查看答案和解析>>

科目:高中数学 来源: 题型:

已知函数f(x)=x2-bx的图象在点A(1,f(1))处的切线l与直线x+3y-1=0垂直,若数列{
1
f(n)
}的前n项和为Sn,则S2012的值为(  )

查看答案和解析>>

科目:高中数学 来源: 题型:

已知函数f(x)=xlnx
(Ⅰ)求函数f(x)的极值点;
(Ⅱ)若直线l过点(0,-1),并且与曲线y=f(x)相切,求直线l的方程.

查看答案和解析>>

科目:高中数学 来源: 题型:

已知函数f(x)=
3
x
a
+
3
(a-1)
x
,a≠0且a≠1.
(1)试就实数a的不同取值,写出该函数的单调增区间;
(2)已知当x>0时,函数在(0,
6
)上单调递减,在(
6
,+∞)上单调递增,求a的值并写出函数的解析式;
(3)记(2)中的函数图象为曲线C,试问是否存在经过原点的直线l,使得l为曲线C的对称轴?若存在,求出直线l的方程;若不存在,请说明理由.

查看答案和解析>>

同步练习册答案