精英家教网 > 高中数学 > 题目详情
已知数列{an}满足a1=2,且anan+1+an+1-2an=0(n∈N+).
(1)求a2、a3、a4的值;
(2)猜想数列{an}的通项公式,并用数学归纳法加以证明.
【答案】分析:(1)由题意可得 ,又a1=2,可求得a2,再由a2的值求 a3,再由a3 的值求出a4的值.
(2)猜想,检验n=1时等式成立,假设n=k时命题成立,证明当n=k+1时命题也成立.
解答:解:(1)由题得,又a1=2,则

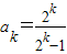
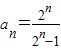
(2)猜想.             
证明:①当n=1时,,故命题成立.
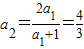
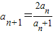
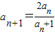
②假设当n=k时命题成立,即
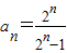
则当n=k+1时,
故命题也成立.                     
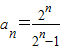
综上,对一切n∈N+都有成立.
点评:本题考查数列的递推公式,用数学归纳法证明等式成立.证明当n=k+1时命题也成立,是解题的难点.
练习册系列答案
相关习题

科目:高中数学 来源: 题型:

已知数列{an}满足:a1=1且an+1=
3+4an
12-4an
, n∈N*

(1)若数列{bn}满足:bn=
1
an-
1
2
(n∈N*)
,试证明数列bn-1是等比数列;
(2)求数列{anbn}的前n项和Sn
(3)数列{an-bn}是否存在最大项,如果存在求出,若不存在说明理由.

查看答案和解析>>

科目:高中数学 来源: 题型:

已知数列{an}满足
1
2
a1+
1
22
a2+
1
23
a3+…+
1
2n
an=2n+1
则{an}的通项公式
 

查看答案和解析>>

科目:高中数学 来源: 题型:

已知数列{an}满足:a1=
3
2
,且an=
3nan-1
2an-1+n-1
(n≥2,n∈N*).
(1)求数列{an}的通项公式;
(2)证明:对于一切正整数n,不等式a1•a2•…an<2•n!

查看答案和解析>>

科目:高中数学 来源: 题型:

已知数列{an}满足an+1=|an-1|(n∈N*
(1)若a1=
54
,求an
(2)若a1=a∈(k,k+1),(k∈N*),求{an}的前3k项的和S3k(用k,a表示)

查看答案和解析>>

科目:高中数学 来源: 题型:

(2012•北京模拟)已知数列{an}满足an+1=an+2,且a1=1,那么它的通项公式an等于
2n-1
2n-1

查看答案和解析>>

同步练习册答案