精英家教网 > 高中数学 > 题目详情
已知数列{an}满足a1=2,an+1=2(1+2•an
(1)求证数列{}是等比数列,并求其通项公式;
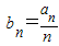
(2)设b,求数列{bn}的前n项和Sn
(3)设Cn=,求证:
【答案】分析:(1)利用an+1=2(1+2•an,可得=2•,从而可得{}是以2为首项,2为公比的等比数列,即可并求其通项公式;
(2)利用错位相减法,可求数列{bn}的前n项和Sn
(3)利用放缩法,结合等比数列的求和公式,即可证得结论.
解答:(1)解:∵an+1=2(1+2•an
=2•
∵a1=2,∴{}是以2为首项,2为公比的等比数列

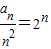
∴an=n2•2n;  
(2)解:=n•2n
∴Sn=1•21+2•22+…+n•2n
∴2Sn=1•22+2•23+…+(n-1)•2n+n•2n+1
两式相减可得-Sn=2n+1-2-n•2n+1
∴Sn=2+(n-1)•2n+1
(3)证明:cn==>0,
设Tn=c1+c2+c3+…+cn,则T1<T2<T3<T4
当n≥4时,Tn==-=
综上:c1+c2+c3+…+cn
点评:本题考查等比数列的证明,考查数列的通项与求和,考查不等式的证明,属于中档题.
练习册系列答案
相关习题

科目:高中数学 来源: 题型:

已知数列{an}满足:a1=1且an+1=
3+4an
12-4an
, n∈N*

(1)若数列{bn}满足:bn=
1
an-
1
2
(n∈N*)
,试证明数列bn-1是等比数列;
(2)求数列{anbn}的前n项和Sn
(3)数列{an-bn}是否存在最大项,如果存在求出,若不存在说明理由.

查看答案和解析>>

科目:高中数学 来源: 题型:

已知数列{an}满足
1
2
a1+
1
22
a2+
1
23
a3+…+
1
2n
an=2n+1
则{an}的通项公式
 

查看答案和解析>>

科目:高中数学 来源: 题型:

已知数列{an}满足:a1=
3
2
,且an=
3nan-1
2an-1+n-1
(n≥2,n∈N*).
(1)求数列{an}的通项公式;
(2)证明:对于一切正整数n,不等式a1•a2•…an<2•n!

查看答案和解析>>

科目:高中数学 来源: 题型:

已知数列{an}满足an+1=|an-1|(n∈N*
(1)若a1=
54
,求an
(2)若a1=a∈(k,k+1),(k∈N*),求{an}的前3k项的和S3k(用k,a表示)

查看答案和解析>>

科目:高中数学 来源: 题型:

(2012•北京模拟)已知数列{an}满足an+1=an+2,且a1=1,那么它的通项公式an等于
2n-1
2n-1

查看答案和解析>>

同步练习册答案