相关习题
0 79605 79613 79619 79623 79629 79631 79635 79641 79643 79649 79655 79659 79661 79665 79671 79673 79679 79683 79685 79689 79691 79695 79697 79699 79700 79701 79703 79704 79705 79707 79709 79713 79715 79719 79721 79725 79731 79733 79739 79743 79745 79749 79755 79761 79763 79769 79773 79775 79781 79785 79791 79799 266669
科目:
来源:2009-2010学年湖北省襄樊四中高二(上)期中数学试卷(理科)(解析版)
题型:填空题
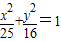
曲线

与直线y=k(x-2)+4有两个交点,则实数k的取值范围为
.
查看答案和解析>>
科目:
来源:2009-2010学年湖北省襄樊四中高二(上)期中数学试卷(理科)(解析版)
题型:填空题
椭圆

的右焦点为F,P
1、P
2、P
3是此椭圆上不同的三点,且∠P
1FP
2=∠P
2FP
3=∠P
3FP
1,则

=
.
查看答案和解析>>
科目:
来源:2009-2010学年湖北省襄樊四中高二(上)期中数学试卷(理科)(解析版)
题型:解答题
直线l经过点P(3,2)且与x轴正半轴及y轴正半轴分别交于点A、B.
(1)当△AOB面积最小时,求直线l的方程.
(2)已知直线m的方程为5x+y-1=0,在(1)的条件下,求直线l到直线 m的角θ的大小.
查看答案和解析>>
科目:
来源:2009-2010学年湖北省襄樊四中高二(上)期中数学试卷(理科)(解析版)
题型:解答题
求与x轴相切,圆心C在直线3x-y=0上,且截直线x-y=0得的弦长为

的圆的方程.
查看答案和解析>>
科目:
来源:2009-2010学年湖北省襄樊四中高二(上)期中数学试卷(理科)(解析版)
题型:解答题
某研究所计划利用“神七”宇宙飞船进行新产品搭载实验,计划搭载新产品A、B,要根据该产品的研制成本、产品重量、搭载实验费用和预计产生收益来决定具体安排,通过调查,有关数据如表:
| 产品A(件) | 产品B(件) | |
| 研制成本、搭载费用之和(万元) | 20 | 30 | 计划最大资金额300万元 |
| 产品重量(千克) | 10 | 5 | 最大搭载重量110千克 |
| 预计收益(万元) | 80 | 60 | |
试问:如何安排这两种产品的件数进行搭载,才能使总预计收益达到最大,最大收益是多少?
查看答案和解析>>
科目:
来源:2009-2010学年湖北省襄樊四中高二(上)期中数学试卷(理科)(解析版)
题型:解答题
直线l:y=kx+1与双曲线C:2x2-y2=1的右支交于不同的两点A、B.
(I)求实数k的取值范围;
(II)是否存在实数k,使得以线段AB为直径的圆经过双曲线C的右焦点F?若存在,求出k的值;若不存在,说明理由.
查看答案和解析>>
科目:
来源:2009-2010学年湖北省襄樊四中高二(上)期中数学试卷(理科)(解析版)
题型:解答题
抛物线C的方程为y=ax
2(a<0),过抛物线C上一点P(x
,y
)(x
≠0)作斜率为k
1、k
2的两条直线分别交抛物线C于A(x
1,y
1)、B(x
2,y
2)两点(P、A、B三点互不相同),且满足k
2+λk
1=0(λ≠0且λ≠-1),
(1)设直线AB上一点M,满足

,证明线段PM的中点在y轴上;
(2)当λ=1时,若点P的坐标为(1,-1),求∠PAB为钝角时点A的纵坐标y
1的取值范围.
查看答案和解析>>
科目:
来源:2009-2010学年湖北省襄樊四中高二(上)期中数学试卷(理科)(解析版)
题型:解答题
如图,已知

,且

,

,

(G为动点).
(1)建立适当的平面直角坐标系,写出点P的轨迹方程;
(2)若点P的轨迹上存在两个不同的点A,B,且线段AB的中垂线与EF(或EF的延长线)相交于一点C,求证:

;
(3)若

且点P的轨迹上存在点Q使得

,求点P的轨迹的离心率e的取值范围.

查看答案和解析>>
科目:
来源:2012-2013学年广东省广州市海珠区高二(下)期末数学试卷(理科)(解析版)
题型:选择题
若i为虚数单位,则复数z=

在复平面内对应的点所在象限为( )
A.第一象限
B.第二象限
C.第三象限
D.第四象限
查看答案和解析>>
科目:
来源:2012-2013学年广东省广州市海珠区高二(下)期末数学试卷(理科)(解析版)
题型:选择题
命题“所有能被2整除的数都是偶数”的否定是( )
A.存在一个能被2整除的数不是偶数
B.存在一个不能被2整除的数是偶数
C.所有不能被2整除的数都是偶数
D.所有能被2整除的数都不是偶数
查看答案和解析>>