相关习题
 0  79894  79902  79908  79912  79918  79920  79924  79930  79932  79938  79944  79948  79950  79954  79960  79962  79968  79972  79974  79978  79980  79984  79986  79988  79989  79990  79992  79993  79994  79996  79998  80002  80004  80008  80010  80014  80020  80022  80028  80032  80034  80038  80044  80050  80052  80058  80062  80064  80070  80074  80080  80088  266669 

科目: 来源:2008-2009学年北京101中学高三(上)9月统考数学试卷(理科)(解析版) 题型:填空题

设a>0,a≠1,函数有最大值,则不等式loga(x2-5x+7)>0的解集为   

查看答案和解析>>

科目: 来源:2008-2009学年北京101中学高三(上)9月统考数学试卷(理科)(解析版) 题型:填空题

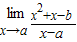
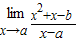
已知函数f(x)=在x=0处连续,若存在,则a,x=0=    (其中a、b为常数)

查看答案和解析>>

科目: 来源:2008-2009学年北京101中学高三(上)9月统考数学试卷(理科)(解析版) 题型:填空题

在数列{an}中,a1=1,a2=2,且an+2-an=1+(-1)n(n∈N*),则S100=   

查看答案和解析>>

科目: 来源:2008-2009学年北京101中学高三(上)9月统考数学试卷(理科)(解析版) 题型:填空题

等差数列{an}中,记Sn为前n项和,若a1+a7+a13是一确定的常数,下列各式中,也为确定常数的是   
①a21②a7③S13④S14⑤S8-S5

查看答案和解析>>

科目: 来源:2008-2009学年北京101中学高三(上)9月统考数学试卷(理科)(解析版) 题型:填空题

若函数 在区间(1-a,10-a2)上有最小值,则实数a的取值范围是   

查看答案和解析>>

科目: 来源:2008-2009学年北京101中学高三(上)9月统考数学试卷(理科)(解析版) 题型:解答题

已知数列 {an}的前n项和Sn=2n2-3n
(1)证明数列{an}是等差数列.
(2)若bn=an•2n,求数列{bn}的前n项和Tn

查看答案和解析>>

科目: 来源:2008-2009学年北京101中学高三(上)9月统考数学试卷(理科)(解析版) 题型:解答题

设函数f(x)=ax2+bx+c(a≠0),曲线y=f(x)通过点(0,2a+3),且在点(-1,f(-1))
处的切线垂直于y轴.
(Ⅰ)用a分别表示b和c;
(Ⅱ)当bc取得最小值时,求函数g(x)=-f(x)e-x的单调区间.

查看答案和解析>>

科目: 来源:2008-2009学年北京101中学高三(上)9月统考数学试卷(理科)(解析版) 题型:解答题

某射手进行射击训练,假设每次射击击中目标的概率为,且各次射击的结果互不影响,
(1)求该射手在3次射击中,至少有2次连续击中目标的概率;
(2)求该射手在3次射中目标时,恰好射击了4次的概率;
(3)设随机变量ξ表示该射手第3次击中目标时已射击的次数,求ξ的分布列.

查看答案和解析>>

科目: 来源:2008-2009学年北京101中学高三(上)9月统考数学试卷(理科)(解析版) 题型:解答题

已知函数y=f(x)是定义在区间上的偶函数,且时,f(x)=-x2-x+5
(1)求函数f(x)的解析式;
(2)将函数g(x)=-x2-x+5,的图象按向量a=(1,b)(b∈R)平移得到函数h(x)的图象,求函数h(x)的解析式并解不等式h(x)<0.

查看答案和解析>>

科目: 来源:2008-2009学年北京101中学高三(上)9月统考数学试卷(理科)(解析版) 题型:解答题

设函数
(1)求函数f(x)的极大值与极小值;
(2)若对函数的x∈[0,a],总存在相应的x1,x2∈[0,a],使得g(x1)≤f(x)≤g(x2)成立,求实数a的取值范围.

查看答案和解析>>

同步练习册答案