相关习题
 0  79948  79956  79962  79966  79972  79974  79978  79984  79986  79992  79998  80002  80004  80008  80014  80016  80022  80026  80028  80032  80034  80038  80040  80042  80043  80044  80046  80047  80048  80050  80052  80056  80058  80062  80064  80068  80074  80076  80082  80086  80088  80092  80098  80104  80106  80112  80116  80118  80124  80128  80134  80142  266669 

科目: 来源:2009-2010学年北京四中高二(上)期末数学试卷(文科)(解析版) 题型:填空题

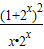
不等式>0的解集是    

查看答案和解析>>

科目: 来源:2009-2010学年北京四中高二(上)期末数学试卷(文科)(解析版) 题型:填空题

函数f(x)为奇函数,对任意x∈R,均有f(x+4)=f(x),若f(-1)=3,则f(-3)=   

查看答案和解析>>

科目: 来源:2009-2010学年北京四中高二(上)期末数学试卷(文科)(解析版) 题型:填空题

方程2-x+x2=3的实数解的个数为   

查看答案和解析>>

科目: 来源:2009-2010学年北京四中高二(上)期末数学试卷(文科)(解析版) 题型:填空题

给出下列四种说法:
①函数y=ax(a>0且a≠1)与函数y=logaax(a>0且a≠1)的定义域相同;
②函数y=x3与y=3x的值域相同;
③函数y=+与y=都是奇函数;
④函数y=(x-1)2与y=2x-1在区间[0,+∞)上都是增函数.
其中正确的序号是    (把你认为正确叙述的序号都填上).

查看答案和解析>>

科目: 来源:2009-2010学年北京四中高二(上)期末数学试卷(文科)(解析版) 题型:解答题

解关于x的不等式:x2+(a+2)x+2a<0.

查看答案和解析>>

科目: 来源:2009-2010学年北京四中高二(上)期末数学试卷(文科)(解析版) 题型:解答题

已知:函数y=在[0,2]上有最小值8,求:正数a的值.

查看答案和解析>>

科目: 来源:2009-2010学年北京四中高二(上)期末数学试卷(文科)(解析版) 题型:解答题

定义在(-1,1)上的函数f(x)满足:对任意x,y属于(-1,1),都有f(x)+f(y)=f().
(1)求证:函数f(x)是奇函数!
(2)若当x属于(-1,0)时,有f(x)>0.求证:f(x)在(-1,1)上是减函数.

查看答案和解析>>

科目: 来源:2009-2010学年北京四中高二(上)期末数学试卷(文科)(解析版) 题型:选择题

过曲线y=x4上一点,倾斜角为的切线方程为( )
A.4x-4y+3=0
B.4x-4y+5=0
C.4x-4y-3=0
D.4x-4y-5=0

查看答案和解析>>

科目: 来源:2009-2010学年北京四中高二(上)期末数学试卷(文科)(解析版) 题型:选择题

已知全集U=A∪B中有m个元素,(CUA)∪(CUB)中有n个元素.若A∩B非空,则A∩B的元素个数为( )
A.mn
B.m+n
C.n-m
D.m-n

查看答案和解析>>

科目: 来源:2009-2010学年北京四中高二(上)期末数学试卷(文科)(解析版) 题型:选择题

复数z1=,z2=2-3i,z3=,则|z3|等于( )
A.
B.
C.
D.5

查看答案和解析>>

同步练习册答案