相关习题
 0  80038  80046  80052  80056  80062  80064  80068  80074  80076  80082  80088  80092  80094  80098  80104  80106  80112  80116  80118  80122  80124  80128  80130  80132  80133  80134  80136  80137  80138  80140  80142  80146  80148  80152  80154  80158  80164  80166  80172  80176  80178  80182  80188  80194  80196  80202  80206  80208  80214  80218  80224  80232  266669 

科目: 来源:2010-2011学年山东大学附中高二(下)第一次月考数学试卷(文科)(解析版) 题型:选择题

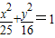
已知椭圆上的一点P到椭圆一个焦点的距离为3,则P到另一焦点距离为( )
A.9
B.7
C.5
D.3

查看答案和解析>>

科目: 来源:2010-2011学年山东大学附中高二(下)第一次月考数学试卷(文科)(解析版) 题型:选择题

已知定义在R上的奇函数f(x)满足f(x+2)=-f(x),则f(6)的值为( )
A.-1
B.0
C.1
D.2

查看答案和解析>>

科目: 来源:2010-2011学年山东大学附中高二(下)第一次月考数学试卷(文科)(解析版) 题型:选择题

( )
A.0
B.1
C.2
D.3

查看答案和解析>>

科目: 来源:2010-2011学年山东大学附中高二(下)第一次月考数学试卷(文科)(解析版) 题型:选择题

“a>1”是“”的( )
A.充分不必要条件
B.必要不充分条件
C.充要条件
D.既不充分也不必要条件

查看答案和解析>>

科目: 来源:2010-2011学年山东大学附中高二(下)第一次月考数学试卷(文科)(解析版) 题型:选择题

曲线y=x3-3x2+1在点(1,-1)处的切线方程为( )
A.y=3x-4
B.y=-3x+2
C.y=-4x+3
D.y=4x-5

查看答案和解析>>

科目: 来源:2010-2011学年山东大学附中高二(下)第一次月考数学试卷(文科)(解析版) 题型:选择题

正方体的内切球与其外接球的体积之比为( )
A.1:
B.1:3
C.1:3
D.1:9

查看答案和解析>>

科目: 来源:2010-2011学年山东大学附中高二(下)第一次月考数学试卷(文科)(解析版) 题型:选择题

下面程序框图,如果输入三个实数a、b、c,要求输出这三个数中最大的数,那么在空白的判断框中,应该填入下面四个选项中的( )
A.c>
B.x>c
C.c>b
D.b>c

查看答案和解析>>

科目: 来源:2010-2011学年山东大学附中高二(下)第一次月考数学试卷(文科)(解析版) 题型:选择题

有五条线段长度分别为1、3、5、7、9,从这5条线段中任取3条,则所取3条线段能构成一个三角形的概率为( )
A.
B.
C.
D.

查看答案和解析>>

科目: 来源:2010-2011学年山东大学附中高二(下)第一次月考数学试卷(文科)(解析版) 题型:选择题

在给定双曲线中,过焦点垂直于实轴的弦长为,焦点到相应准线的距离为,则该双曲线的离心率为( )
A.
B.2
C.
D.2

查看答案和解析>>

科目: 来源:2010-2011学年山东大学附中高二(下)第一次月考数学试卷(文科)(解析版) 题型:选择题

抛物线y=2x2上两点A(x1,y1)、B(x2,y2)关于直线y=x+m对称,且x1•x2=-,则m等于( )
A.
B.2
C.
D.3

查看答案和解析>>

同步练习册答案