相关习题
 0  80656  80664  80670  80674  80680  80682  80686  80692  80694  80700  80706  80710  80712  80716  80722  80724  80730  80734  80736  80740  80742  80746  80748  80750  80751  80752  80754  80755  80756  80758  80760  80764  80766  80770  80772  80776  80782  80784  80790  80794  80796  80800  80806  80812  80814  80820  80824  80826  80832  80836  80842  80850  266669 

科目: 来源:2005-2006学年北京四中高二(上)期末数学试卷(文科)(解析版) 题型:选择题

已知实数x、y满足2x2+3y2=2x,则x2+y2的最大值为( )
A.
B.1
C.2
D.4

查看答案和解析>>

科目: 来源:2005-2006学年北京四中高二(上)期末数学试卷(文科)(解析版) 题型:选择题

如图,长方体ABCD-A1B1C1D1中,AB=3,BC=BB1=2,则异面直线AC1和B1C所成的角是( )

A.30°
B.45°
C.60°
D.90°

查看答案和解析>>

科目: 来源:2005-2006学年北京四中高二(上)期末数学试卷(文科)(解析版) 题型:选择题

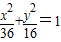
设P(x,y)是曲线 上的点,F1(-4,0),F2(4,0),则( )
A.|PF1|+|PF2|<10
B.|PF1|+|PF2|≤10
C.|PF1|+|PF2|>10
D.|PF1|+|PF2|≥10

查看答案和解析>>

科目: 来源:2005-2006学年北京四中高二(上)期末数学试卷(文科)(解析版) 题型:填空题

若a>0,b>0,ab≥1+a+b,则a+b的最小值为   

查看答案和解析>>

科目: 来源:2005-2006学年北京四中高二(上)期末数学试卷(文科)(解析版) 题型:填空题

双曲线C与椭圆 有相同的焦点,且C的渐近线为x,则双曲线C的方程是   

查看答案和解析>>

科目: 来源:2005-2006学年北京四中高二(上)期末数学试卷(文科)(解析版) 题型:填空题

 上的点与直线2x-y+10=0的最大距离是   

查看答案和解析>>

科目: 来源:2005-2006学年北京四中高二(上)期末数学试卷(文科)(解析版) 题型:填空题

直线与抛物线y2=4x交于A、B两点,|AB|=8,则线段AB中点到y轴距离的最小值为   

查看答案和解析>>

科目: 来源:2005-2006学年北京四中高二(上)期末数学试卷(文科)(解析版) 题型:填空题

不等式 的解为   

查看答案和解析>>

科目: 来源:2005-2006学年北京四中高二(上)期末数学试卷(文科)(解析版) 题型:填空题

空间中的三条直线能确定的平面个数是   

查看答案和解析>>

科目: 来源:2005-2006学年北京四中高二(上)期末数学试卷(文科)(解析版) 题型:解答题

已知抛物线y2=6x,过点P(4,1)引一弦,使它恰在点P被平分,求这条弦所在的直线l的方程.

查看答案和解析>>

同步练习册答案