相关习题
0 80950 80958 80964 80968 80974 80976 80980 80986 80988 80994 81000 81004 81006 81010 81016 81018 81024 81028 81030 81034 81036 81040 81042 81044 81045 81046 81048 81049 81050 81052 81054 81058 81060 81064 81066 81070 81076 81078 81084 81088 81090 81094 81100 81106 81108 81114 81118 81120 81126 81130 81136 81144 266669
科目:
来源:2012-2013学年甘肃省庆阳市华池一中高二(下)期末数学试卷(理科)(解析版)
题型:填空题
已知随机变量X服从正态分布N(2,σ2),P(X≤4)=0.84,则P(X≤0)等于 .
查看答案和解析>>
科目:
来源:2012-2013学年甘肃省庆阳市华池一中高二(下)期末数学试卷(理科)(解析版)
题型:填空题
A、B、C、D、E五种不同的商品要在货架上排成一排,其中A、B两种商品必须排在一起,而C、D两种商品不能排在一起,则不同的排法共有 种.
查看答案和解析>>
科目:
来源:2012-2013学年甘肃省庆阳市华池一中高二(下)期末数学试卷(理科)(解析版)
题型:填空题
从4名男生和3名女生中选出4人参加某个座谈会,若这4人中必须既有男生又有女生,则不同的选法种数共有 .(用数字作答)
查看答案和解析>>
科目:
来源:2012-2013学年甘肃省庆阳市华池一中高二(下)期末数学试卷(理科)(解析版)
题型:解答题
已知

的展开式中,第5项的系数与第3项的系数之比是56:3,求展开式中的常数项.
查看答案和解析>>
科目:
来源:2012-2013学年甘肃省庆阳市华池一中高二(下)期末数学试卷(理科)(解析版)
题型:解答题
在对某地区的830名居民进行一种传染病与饮用水关系的调查中,在患病的146人中有94人饮用了不干净水,而其他不患病的684人中有218人饮用了不干净水.
(1)根据已知数据列联表.
(2)利用列联表的独立性检验,判断能否以99.9%的把握认为“该地区的传染病与饮用不干净的水有关”
| P(K2≥k) | 0.25 | 0.15 | 0.10 | 0.05 | 0.025 | 0.010 | 0.005 | 0.001 |
| k | 1.323 | 2.072 | 2.706 | 3.841 | 5.024 | 6.635 | 7.879 | 10.828 |
查看答案和解析>>
科目:
来源:2012-2013学年甘肃省庆阳市华池一中高二(下)期末数学试卷(理科)(解析版)
题型:解答题
甲、乙、丙三人分别独立的进行某项技能测试,已知甲能通过测试的概率是

,甲、乙、丙三人都能通过测试的概率是

,甲、乙、丙三人都不能通过测试的概率是

,且乙通过测试的概率比丙大.
(Ⅰ)求乙、丙两人各自通过测试的概率分别是多少;
(Ⅱ)求测试结束后通过的人数ξ的数学期望Eξ.
查看答案和解析>>
科目:
来源:2012-2013学年甘肃省庆阳市华池一中高二(下)期末数学试卷(理科)(解析版)
题型:解答题
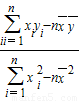
假设关于某设备使用年限x(年)和所支出的维修费用y(万元)有如下统计资料:
b=

若由资料知,y对x呈线性相关关系,试求:
(1)回归直线方程;
(2)估计使用年限为10年时,维修费用约是多少?,

=

-b

.
查看答案和解析>>
科目:
来源:2012-2013学年甘肃省庆阳市华池一中高二(下)期末数学试卷(理科)(解析版)
题型:解答题
某项考试按科目A、科目B依次进行,只有当科目A成绩合格时,才可继续参加科目B的考试.已知每个科目只允许有一次补考机会,两个科目成绩均合格方可获得证书.现某人参加这项考试,科目A每次考试成绩合格的概率均为

,科目B每次考试成绩合格的概率均为

.假设各次考试成绩合格与否均互不影响.
(Ⅰ)求他不需要补考就可获得证书的概率;
(Ⅱ)在这项考试过程中,假设他不放弃所有的考试机会,记他参加考试的次数为ξ,求ξ的数学期望Eξ.
查看答案和解析>>
科目:
来源:2012-2013学年甘肃省庆阳市华池一中高二(下)期末数学试卷(理科)(解析版)
题型:解答题
如图是一个方形迷宫,甲、乙两人分别位于迷宫的A、B两处,两人同时以每一分钟一格的速度向东、西、南、北四个方向行走,已知甲向东、西行走的概率都为

,向南、北行走的概率为

和p,乙向东、西、南、北四个方向行走的概率均为q
(1)p和q的值;
(2)问最少几分钟,甲、乙二人相遇?并求出最短时间内可以相遇的概率.

查看答案和解析>>
科目:
来源:2012-2013学年广东省广州市七区联考高二(下)期末数学试卷(理科)(解析版)
题型:选择题
若i为虚数单位,则复数z=

在复平面内对应的点所在象限为( )
A.第一象限
B.第二象限
C.第三象限
D.第四象限
查看答案和解析>>