相关习题
 0  81459  81467  81473  81477  81483  81485  81489  81495  81497  81503  81509  81513  81515  81519  81525  81527  81533  81537  81539  81543  81545  81549  81551  81553  81554  81555  81557  81558  81559  81561  81563  81567  81569  81573  81575  81579  81585  81587  81593  81597  81599  81603  81609  81615  81617  81623  81627  81629  81635  81639  81645  81653  266669 

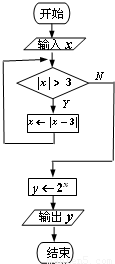
科目: 来源:2012-2013学年江苏省连云港市高三(上)期末数学试卷(解析版) 题型:填空题

如图是一个算法流程图,若输入x的值为-4,则输出y的值为   

查看答案和解析>>

科目: 来源:2012-2013学年江苏省连云港市高三(上)期末数学试卷(解析版) 题型:填空题

已知正方形ABCD的边长为2,E,F分别为BC,DC的中点,沿AE,EF,AF折成一个四面体,使B,C,D三点重合,则这个四面体的体积为   

查看答案和解析>>

科目: 来源:2012-2013学年江苏省连云港市高三(上)期末数学试卷(解析版) 题型:填空题

如果函数y=3sin(2x+ϕ)(0<ϕ<π)的图象关于点(,0)中心对称,则ϕ=   

查看答案和解析>>

科目: 来源:2012-2013学年江苏省连云港市高三(上)期末数学试卷(解析版) 题型:填空题

等轴双曲线C的中心在原点,焦点在x轴上,C与抛物线y2=4x的准线交于A、B两点,AB=,则C的实轴长为   

查看答案和解析>>

科目: 来源:2012-2013学年江苏省连云港市高三(上)期末数学试卷(解析版) 题型:填空题

已知函数f(x)=则使f[f(x)]=2成立的实数x的集合为   

查看答案和解析>>

科目: 来源:2012-2013学年江苏省连云港市高三(上)期末数学试卷(解析版) 题型:填空题

二维空间中圆的一维测度(周长)l=2πr,二维测度(面积)S=πr2,观察发现S′=l;三维空间中球的二维测度(表面积)S=4πr2,三维测度(体积)V=πr3,观察发现V′=S.则四维空间中“超球”的三维测度V=8πr3,猜想其四维测度W=   

查看答案和解析>>

科目: 来源:2012-2013学年江苏省连云港市高三(上)期末数学试卷(解析版) 题型:填空题

在平面直角坐标系xOy中,已知圆(x-1)2+(y-1)2=4,C为圆心,点P为圆上任意一点,则的最大值为   

查看答案和解析>>

科目: 来源:2012-2013学年江苏省连云港市高三(上)期末数学试卷(解析版) 题型:填空题

如图,点A,B分别在x轴与y轴的正半轴上移动,且AB=2,若点A从(,0)移动到(,0),则AB中点D经过的路程为   

查看答案和解析>>

科目: 来源:2012-2013学年江苏省连云港市高三(上)期末数学试卷(解析版) 题型:填空题

关于x的不等式x2-ax+2a<0的解集为A,若集合A中恰有两个整数,则实数a的取值范围是   

查看答案和解析>>

科目: 来源:2012-2013学年江苏省连云港市高三(上)期末数学试卷(解析版) 题型:解答题

在△ABC中,角A、B、C所对的边分别为a、b、c,且ccosB+bcosC=3acosB.
(1)求cosB的值;
(2)若=2,求b的最小值.

查看答案和解析>>

同步练习册答案