相关习题
 0  81669  81677  81683  81687  81693  81695  81699  81705  81707  81713  81719  81723  81725  81729  81735  81737  81743  81747  81749  81753  81755  81759  81761  81763  81764  81765  81767  81768  81769  81771  81773  81777  81779  81783  81785  81789  81795  81797  81803  81807  81809  81813  81819  81825  81827  81833  81837  81839  81845  81849  81855  81863  266669 

科目: 来源:2012-2013学年浙江省台州外国语学校高二(下)第一次月考数学试卷(理科)(解析版) 题型:解答题

已知函数f(x)=-x3+3x2+9x+a.
(I)求f(x)的单调递减区间;
(Ⅱ)若f(x)在区间[-2,2]上的最大值为20,求它在该区间上的最小值.

查看答案和解析>>

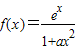
科目: 来源:2012-2013学年浙江省台州外国语学校高二(下)第一次月考数学试卷(理科)(解析版) 题型:解答题

,其中a为正实数
(Ⅰ)当a=时,求f(x)的极值点;
(Ⅱ)若f(x)为R上的单调函数,求a的取值范围.

查看答案和解析>>

科目: 来源:2012-2013学年浙江省台州外国语学校高二(下)第一次月考数学试卷(理科)(解析版) 题型:解答题

已知函数f(x)=x3+ax2+bx+c在x=-2处取得极值,并且它的图象与直线y=-3x+3在点( 1,0 ) 处相切,
(1)求a,b,c的值.
(2)若关于x的方程f(x)=m有三个不同实根,求m的取值范围.

查看答案和解析>>

科目: 来源:2012-2013学年浙江省台州外国语学校高二(下)第一次月考数学试卷(理科)(解析版) 题型:解答题

已知a,b为常数,且a≠0,函数f(x)=-ax+b+axlnx,f(e)=2(e=2.71828…是自然对数的底数).
(I)求实数b的值;
(II)求函数f(x)的单调区间;
(III)当a=1时,是否同时存在实数m和M(m<M),使得对每一个t∈[m,M],直线y=t与曲线y=f(x)(x∈[,e])都有公共点?若存在,求出最小的实数m和最大的实数M;若不存在,说明理由.

查看答案和解析>>

科目: 来源:2012-2013学年江苏省南通市如皋中学高二(下)5月段考数学试卷(文科)(解析版) 题型:填空题

命题“?a>b,都有a2>b2”的否定是   

查看答案和解析>>

科目: 来源:2012-2013学年江苏省南通市如皋中学高二(下)5月段考数学试卷(文科)(解析版) 题型:填空题

函数的定义域为   

查看答案和解析>>

科目: 来源:2012-2013学年江苏省南通市如皋中学高二(下)5月段考数学试卷(文科)(解析版) 题型:填空题

设f(x)是定义在[a,b]上的奇函数,则f[2(a+b)]=   

查看答案和解析>>

科目: 来源:2012-2013学年江苏省南通市如皋中学高二(下)5月段考数学试卷(文科)(解析版) 题型:填空题

A={x|(x-1)2<3x-7},则A∩Z的元素的个数    

查看答案和解析>>

科目: 来源:2012-2013学年江苏省南通市如皋中学高二(下)5月段考数学试卷(文科)(解析版) 题型:填空题

“M>N”是“log2M>log2N”成立的    条件.

查看答案和解析>>

科目: 来源:2012-2013学年江苏省南通市如皋中学高二(下)5月段考数学试卷(文科)(解析版) 题型:填空题

若f(x-1)=2x+5,则f(x2)=   

查看答案和解析>>

同步练习册答案