相关习题
 0  82029  82037  82043  82047  82053  82055  82059  82065  82067  82073  82079  82083  82085  82089  82095  82097  82103  82107  82109  82113  82115  82119  82121  82123  82124  82125  82127  82128  82129  82131  82133  82137  82139  82143  82145  82149  82155  82157  82163  82167  82169  82173  82179  82185  82187  82193  82197  82199  82205  82209  82215  82223  266669 

科目: 来源:2012-2013学年浙江省衢州市龙游中学高三(上)期中数学试卷(理科)(解析版) 题型:选择题

已知各项均不为零的数列{an},定义向量,n∈N*.下列命题中真命题是( )
A.若?n∈N*总有成立,则数列{an}是等差数列
B.若?n∈N*总有成立,则数列{an}是等比数列
C.若?n∈N*总有成立,则数列{an}是等差数列
D.若?n∈N*总有成立,则数列{an}是等比数列

查看答案和解析>>

科目: 来源:2012-2013学年浙江省衢州市龙游中学高三(上)期中数学试卷(理科)(解析版) 题型:选择题

已知D是△ABC所在平面内一点,,则( )
A.
B.
C.
D.

查看答案和解析>>

科目: 来源:2012-2013学年浙江省衢州市龙游中学高三(上)期中数学试卷(理科)(解析版) 题型:选择题

已知函数f(x)=x3-3x2+1,g(x)=,则方程g[f(x)]-a=0(a为正实数)的根的个数不可能 为( )
A.3个
B.4个
C.5个
D.6个

查看答案和解析>>

科目: 来源:2012-2013学年浙江省衢州市龙游中学高三(上)期中数学试卷(理科)(解析版) 题型:填空题

已知向量,若,则λ=   

查看答案和解析>>

科目: 来源:2012-2013学年浙江省衢州市龙游中学高三(上)期中数学试卷(理科)(解析版) 题型:填空题

已知等比数列{an}的公比q=-,Sn为其前n项和,则=   

查看答案和解析>>

科目: 来源:2012-2013学年浙江省衢州市龙游中学高三(上)期中数学试卷(理科)(解析版) 题型:填空题

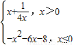
函数的单调减区间是   

查看答案和解析>>

科目: 来源:2012-2013学年浙江省衢州市龙游中学高三(上)期中数学试卷(理科)(解析版) 题型:填空题

函数y=cos3x+sin2x-cosx的最大值等于   

查看答案和解析>>

科目: 来源:2012-2013学年浙江省衢州市龙游中学高三(上)期中数学试卷(理科)(解析版) 题型:填空题

若数列{an}为等差数列,且a1+3a8+a15=120,则2a9-a10的值等于   

查看答案和解析>>

科目: 来源:2012-2013学年浙江省衢州市龙游中学高三(上)期中数学试卷(理科)(解析版) 题型:填空题

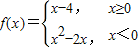
若函数在[-1,1]上是单调增函数,则实数a的取值范围是   

查看答案和解析>>

科目: 来源:2012-2013学年浙江省衢州市龙游中学高三(上)期中数学试卷(理科)(解析版) 题型:填空题

在平面直角坐标系中,若点A,B同时满足:①点A,B都在函数y=f(x)图象上;②点A,B关于原点对称,则称点对(A,B)是函数y=f(x)的一个“姐妹点对”(规定点对(A,B)与点对(B,A)是同一个“姐妹点对”).那么函数的“姐妹点对”的个数为    ;当函数g(x)=ax-x-a有“姐妹点对”时,a的取值范围是   

查看答案和解析>>

同步练习册答案