相关习题
 0  83996  84004  84010  84014  84020  84022  84026  84032  84034  84040  84046  84050  84052  84056  84062  84064  84070  84074  84076  84080  84082  84086  84088  84090  84091  84092  84094  84095  84096  84098  84100  84104  84106  84110  84112  84116  84122  84124  84130  84134  84136  84140  84146  84152  84154  84160  84164  84166  84172  84176  84182  84190  266669 

科目: 来源:2008-2009学年黑龙江省大庆市铁人中学高三(上)第二次月考数学试卷(文科)(解析版) 题型:选择题

已知0<a<1,0<logam<logan,则( )
A.1<m<n
B.1<n<m
C.m<n<1
D.n<m<1

查看答案和解析>>

科目: 来源:2008-2009学年黑龙江省大庆市铁人中学高三(上)第二次月考数学试卷(文科)(解析版) 题型:选择题

若函数f-1(x)=2x+1,则f(1)=( )
A.4
B.-4
C.1
D.-1

查看答案和解析>>

科目: 来源:2008-2009学年黑龙江省大庆市铁人中学高三(上)第二次月考数学试卷(文科)(解析版) 题型:选择题

已知M={y|y=x2},N={y|x2+y2=2},则M∩N=( )
A.{(1,1),(-1,1)}
B.{1}
C.[0,1]
D.

查看答案和解析>>

科目: 来源:2008-2009学年黑龙江省大庆市铁人中学高三(上)第二次月考数学试卷(文科)(解析版) 题型:选择题

“a=1”是“函数f(x)=|x-a|在区间[1,+∞)上为增函数”的( )
A.充分不必要条件
B.必要不充分条件
C.充要条件
D.既不充分也不必要条件

查看答案和解析>>

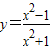
科目: 来源:2008-2009学年黑龙江省大庆市铁人中学高三(上)第二次月考数学试卷(文科)(解析版) 题型:选择题

函数的值域是( )
A.[-1,1]
B.(-1,1]
C.[-1,1)
D.(-1,1)

查看答案和解析>>

科目: 来源:2008-2009学年黑龙江省大庆市铁人中学高三(上)第二次月考数学试卷(文科)(解析版) 题型:选择题

f(x)是定义在R上的奇函数,它的最小正周期为T,则f(-)的值为( )
A.0
B.
C.T
D.-

查看答案和解析>>

科目: 来源:2008-2009学年黑龙江省大庆市铁人中学高三(上)第二次月考数学试卷(文科)(解析版) 题型:选择题

函数f(x)=ax2+b|x|+c(a≠0),其定义域R分成了四个单调区间,则实数a,b,c满足( )
A.b2-4ac>0且a>0
B.
C.b2-4ac>0
D.

查看答案和解析>>

科目: 来源:2008-2009学年黑龙江省大庆市铁人中学高三(上)第二次月考数学试卷(文科)(解析版) 题型:选择题

按如下方式定义函数f(x):对于每个实数x,f(x)的值为x2,6-x,2x+15中的最小值,则f(x)最大值为( )
A.4
B.9
C.16
D.25

查看答案和解析>>

科目: 来源:2008-2009学年黑龙江省大庆市铁人中学高三(上)第二次月考数学试卷(文科)(解析版) 题型:选择题

已知函数f(x)是R上的偶函数,且在(0,+∞)上是增函数,若f(-1)=0,那xf(x)<0的解集是( )
A.(-1,0)∪(1,+∞)
B.(-∞,-1)∪(0,1)
C.(-∞,-1)∪(1,+∞)
D.(-1,0)∪(0,1)

查看答案和解析>>

科目: 来源:2008-2009学年黑龙江省大庆市铁人中学高三(上)第二次月考数学试卷(文科)(解析版) 题型:选择题

已知函数f(x)的定义域为R,它的反函数为f-1(x),如果f-1(x+a)与f(x+a)互为反函数,且f(a)=a(a≠0),则f(2a)的值为( )
A.-a
B.0
C.a
D.2a

查看答案和解析>>

同步练习册答案