相关习题
 0  84089  84097  84103  84107  84113  84115  84119  84125  84127  84133  84139  84143  84145  84149  84155  84157  84163  84167  84169  84173  84175  84179  84181  84183  84184  84185  84187  84188  84189  84191  84193  84197  84199  84203  84205  84209  84215  84217  84223  84227  84229  84233  84239  84245  84247  84253  84257  84259  84265  84269  84275  84283  266669 

科目: 来源:2012-2013学年山东省枣庄市滕州一中高三(上)单元过关检测数学试卷(文科)(解析版) 题型:选择题

设P为双曲线上的一点,F1,F2是该双曲线的两个焦点,若|PF1|:|PF2|=3:2,则△PF1F2的面积为( )
A.
B.12
C.
D.24

查看答案和解析>>

科目: 来源:2012-2013学年山东省枣庄市滕州一中高三(上)单元过关检测数学试卷(文科)(解析版) 题型:选择题

若关于x的方程在区间(0,1)上有解,则实数m的取值范围是( )
A.(0,1)
B.(1,2)
C.(-∞,0)∪(1,+∞)
D.(-∞,1)∪(2,+∞)

查看答案和解析>>

科目: 来源:2012-2013学年山东省枣庄市滕州一中高三(上)单元过关检测数学试卷(文科)(解析版) 题型:选择题

已知函数f(x)=x3+ax2+2bx+c(a,b,c∈R),且函数f(x)在区间(0,1)内取得极大值,在区间(1,2)内取得极小值,则z=(a+3)2+b2的取值范围( )
A.(,2)
B.(,4)
C.(1,2)
D.(1,4)

查看答案和解析>>

科目: 来源:2012-2013学年山东省枣庄市滕州一中高三(上)单元过关检测数学试卷(文科)(解析版) 题型:填空题

已知关于x的不等式(ax-1)(x+1)<0的解集是,则实数a的取值范围是   

查看答案和解析>>

科目: 来源:2012-2013学年山东省枣庄市滕州一中高三(上)单元过关检测数学试卷(文科)(解析版) 题型:填空题

已知函数的部分图象如图所示,则f(-1)=   

查看答案和解析>>

科目: 来源:2012-2013学年山东省枣庄市滕州一中高三(上)单元过关检测数学试卷(文科)(解析版) 题型:填空题

函数y=a1-x(a>0,a≠1)的图象恒过定点A,若点A在直线mx+ny-1=0(mn>0)上,则的最小值为   

查看答案和解析>>

科目: 来源:2012-2013学年山东省枣庄市滕州一中高三(上)单元过关检测数学试卷(文科)(解析版) 题型:填空题

将全体正整数排成一个三角形数阵:按照以上排列的规律,第n行(n≥3)从左向右的第3个数为   

查看答案和解析>>

科目: 来源:2012-2013学年山东省枣庄市滕州一中高三(上)单元过关检测数学试卷(文科)(解析版) 题型:解答题

设函数,其中向量
(1)若函数f(x)=1-,且x,求x;
(2)求函数y=f(x)的单调增区间.

查看答案和解析>>

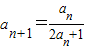
科目: 来源:2012-2013学年山东省枣庄市滕州一中高三(上)单元过关检测数学试卷(文科)(解析版) 题型:解答题

在数列{an}中,a1=1,并且对于任意n∈N*,都有
(1)证明数列{}为等差数列,并求{an}的通项公式;
(2)设数列{anan+1}的前n项和为Tn,求使得的最小正整数n.

查看答案和解析>>

科目: 来源:2012-2013学年山东省枣庄市滕州一中高三(上)单元过关检测数学试卷(文科)(解析版) 题型:解答题

已知圆满足:①截y轴所得弦长为2;②被x轴分成两段圆弧,其弧长的比为3:1;③圆心到直线l:x-2y=0的距离为.求该圆的方程.

查看答案和解析>>

同步练习册答案