题目列表(包括答案和解析)

 0  119181  119189  119195  119199  119205  119207  119211  119217  119219  119225  119231  119235  119237  119241  119247  119249  119255  119259  119261  119265  119267  119271  119273  119275  119276  119277  119279  119280  119281  119283  119285  119289  119291  119295  119297  119301  119307  119309  119315  119319  119321  119325  119331  119337  119339  119345  119349  119351  119357  119361  119367  119375  447348 

14、

试题详情

13、

试题详情

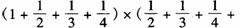
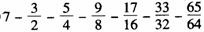
11、   12 、

试题详情

10、王老师带一些钱去买一种工具书作奖品,这些钱可买8本上册或10本下册,现己买了一本下册书,余下的钱若配套买,还可买(  )套这样的工具书。

试题详情

9、六(1)班男生人数的与女生人数的共16人,女生人数的和男生人数的共19人,六(1)班共有(  )人。

试题详情

8、一个楼梯有7阶,上楼时每次可以跨一阶或两阶。从地面到最上层共有(  )种不同的走法。

试题详情

7、甲、乙、丙三人共加工1000个零件。甲、乙两人完成数量的比是7︰5,丙比甲少完成64个零件,乙完成了(  )个零件。

试题详情

6、三个数的平均数是6 , 这三个数的比是,这三个数中最大的是(  )。

试题详情

5、有浓度为8﹪的盐水200克,需稀释成浓度为5﹪的盐水,需加水(  )克。

试题详情

4、某铁路上有11个车站,有一个收集火车票的爱好者,收集了这条线路上所有车站发售的通往其它各个车站的火车票,他一共要收集(   )张。

试题详情


同步练习册答案