题目列表(包括答案和解析)

 0  120766  120774  120780  120784  120790  120792  120796  120802  120804  120810  120816  120820  120822  120826  120832  120834  120840  120844  120846  120850  120852  120856  120858  120860  120861  120862  120864  120865  120866  120868  120870  120874  120876  120880  120882  120886  120892  120894  120900  120904  120906  120910  120916  120922  120924  120930  120934  120936  120942  120946  120952  120960  447348 

16.有以下关于电场和磁场的几种描述,正确的是:( )         

A、电荷在某处不受电场力作用时,该处的电场强度不一定为零;

B、一小段通电导线在某处不受磁场力作用时,该处的磁感应强度不一定为零;

C、如果运动电荷在电场中只受电场力作用,则它经过一段时间后动能一定发生变化;

D、如果运动电荷在磁场中只受磁场力作用,则它经过一段时间后动能一定不发生变化。

  17.右图所示电路可将声音信号转化为电信号,该电路中右侧固定不动的金属板b与能在声波驱动下沿水平方向振动的镀有金属层的振动膜a构成了一个电容器,a、b通过导线与恒定电源两极相接。若声源S做简谐运动,则(   )

A.a振动过程中,a、b板之间的电场强度不变

B.a振动过程中,a、b板所带的电量不变

C.a振动过程中,灵敏电流计中始终有方向不变的电流

D.a向右的位移最大时,a、b板构成的电容器的电容最大

试题详情

15.下面的表格是某年某地区1-6月份的气温与气压对照表:

月  份
1
2
3
4
5
6
平均气温/℃
1.4
3.9
10.7
19.6
26.7
30.2
平均大气压/105Pa
1.021
1.019
1.014
1.008
1.003
0.9984

根据上表数据可知:该年该地区从1月份到6月份 (   )

A.空气分子无规则热运动呈增强的趋势

B.空气分子无规则热运动的情况一直没有变化

C.单位时间与单位面积的地面撞击的空气分子数呈增加的趋势

D.单位时间与单位面积的地面撞击的空气分子数一直没有变化

试题详情

14.从距离地面相同高度以相同的速度大小抛出甲、乙两小球,甲球竖直上抛,乙球竖直下抛,不计空气阻力,两球最后落到地上,以下说法中正确的是:

A、两球动量变化量及落地时的动量均相同

B、两球动量变化量及落地时的动量均不相同

C、两球动量变化量相同,但落地时的动量不相同

D、两球动量变化量不相同,但落地时的动量相同

试题详情

29.(28分)

高能粒子在现代高科技活动中具有广泛的应用,如微观粒子的研究、核能的生产等。粒子加速器是实现高能粒子的主要途径,如图所示为环形粒子加速器示意图,图中实线所示环形区域内存在垂直纸面向外的大小可调节的匀强磁场,质量为m、电量为q的带正电粒子在环中做半径为R的圆周运动。A、B为两块中心开有小孔的极板,原来电势都为零,每当粒子飞经A板时,A板电势升高为+U,B板电势保持为零,粒子在两板之间电场中得到加速。每当粒子离开B板时,A板电势又突然变为零,粒子在电场的一次次加速下动能不断增大,但绕行半径R却始终保持不变。

   (1)设t=0时,粒子静止在A板小孔处,在电场作用下开始加速,并绕行第一圈。求粒子绕行n圈回到A板时获得的总动能En。

   (2)为使粒子始终保持在半径为R的圆轨道上运动,磁场必须周期性递增,求粒子绕行第n圈时,磁感应强度Bn应为多少?

   (3)求粒子绕行n圈所需的总时间t(粒子通过A、B之间的时间不计)。

   (4)定性画出A板电势U随时间t变化的关系图线(从t=0起画到粒子第四次离开B板时即可)。

   (5)在粒子绕行的整个过程中,A板电势是否可始终保持为+U?为什么?

试题详情

28.(26分)实验题

  (1)(16分)有一根很细的均匀空心金属管线重约1N、长约50cm、电阻约为30-40Ω,现需测定它的内径d,已知这种金属的电阻率为ρ。实验室中可以提供下列器材:

   A.厘米刻度尺;   B.毫米刻度尺;

   C.螺旋测微器;   D.电流表(300mA,10Ω);

   E.电流表(3A,0.1Ω);   F.电压表(3V,6KΩ);

   C.滑动变阻器(200Ω,0.5A);  H.滑动变阻器(5Ω,2A)

   I.蓄电池(6V,0.05Ω)   J.开关一个及带夹的异线若干。

   请设计一个实验方案,回答以下问题:

   ①实验中应测物理量的名称及符号是_____________________;

   ②应选用的实验器材有(只填字母代号):____________________。

   ③在方框中画出实验电路图并将图中所示仪器连成实际测量电路;

   ④用测得的物理量和已知的物理常数推导出计算金属管线内径d的表达式。

(2)(10分)如图,在很长的水平桌面上放置的弹簧一端固定在墙上,另一端紧靠一木块,并用手水平向左压住木块,由于弹簧劲度系数很大,故压缩量很小。请利用一架天平、一块秒表和一把直尺,测出弹簧的弹性势能。

   ①写出测量方法_______。

   ②推导出根据测量所得的量计算弹性势能的表达式。

试题详情

27.(24分)

   因为火电生产中煤的燃烧对环境的污染很大,有逐步被取代的趋势。但由于技术及资源方面的原因,目前仍不能完全摒弃火电生产,因此最大限度地降低污染的影响是极为必要的。以CO2为例,全球火电厂每年就有1.02×1013m3(标准状况下)排入大气中,此外还有其它废弃气体排放。

   (1)写出除CO2之外,火电生产中煤燃烧所排放的对大气污染较为严重的两种废弃气体的化学式______。(煤燃烧过程中产生的氮的氧化物不予考虑)。

   为了减少两种废弃气体对大气的污染,常在煤中加入适量的生石灰以减少其中的一种气体的排放量,写出这一气体与生石灰灰发生反应的化学方程式_______;将煤粉送入沸腾炉中燃烧,采取这一措施的目的是_____________________。

   (2)大量栽种绿色植物是充分利用废弃物、降低污染的有效途径,如果绿色植物通过光合作用将这些CO2全部吸收,则每年可产生O2多少吨?

   (3)水电生产将极大地降低对环境的破坏,我省在这一方面有明显的自然优势,宜充分利用。有一个水电站发电机组的设计是这样的:水的落差h=40.8m,通过发电机组的流量Q=103m/s,水通过发电机组后流出的速度是v=4m/s,整个系统的效率是60%,则该发电机组输出的电功率是多少?(g取10m/s2)

(4)如果发电机输出的电压是240V,输电线路的电阻为3Ω,电能在输电线路上的损

失为5%,则所需升压变压器的原、副线圈的匝数比应设计为多少?

试题详情

26.(12分)第一个人工合成的抗生素--氯霉素的合成步聚如下(方程式未配平):

回答下列问题

   (1)C7H6O的结构简式是_______;X的结构简式是_______。

   (2)反应①的类型是_______反应,反应④的类型是_______反应。

试题详情

25.(30分)氨气与灼热的氧化铜反应生成铜、氮气和水。利用下图所示实验装置可测定氨分子的组成(图中夹持、固定装置均略去)。回答下列问题。

   (1)写出氨气与氧化铜反应的化学方程式_______。

   (2)在A的锥形瓶中放入NaOH固体的目的是_______。

   (3)在干燥管B里不能选用的干燥剂是(填序号)_______。

   A.碱石灰  B.生右灰  C.五氧化二磷  D.氢氧化纳

   (4)在C的玻管中观察到的现象是_______。

   (5)E装置中盛装浓硫酸的目的是_______。

   (6)待实验完毕后,若实验测得N2的体积(折算成标准状况)为止,则被还原的氧化铜的物质的量为_______mol;若测得干燥管D增重bg,则氨分子中氮、氢的原子个数比为(用含a、b字母的代数式表示)_______。

   (7)上述实验中,如果省去B装置,测定氨分子组成的N、H原子个数的比值将会(填“增大”、“减少”或“无影响”)_______,理由是_______。

试题详情

24.(24分)

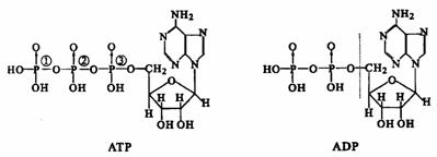
   1997年诺贝尔化学奖的一半授予了美国的保罗博耶和英国的约翰沃克,他们二人的杰出贡献是发现了能量分子--三磷酸腺苷如何在酶的作用下,利用能量进行自身再生方面所取得的成绩。三磷酸腺苷称ATP。分子中含有的两个高能磷酸键用①和②表示,键能为30.5kJ·mol-1;有一个低能磷酸键,键能为15.25kJ·mol-1;ATP和ADP的结构如下:。

   (1)1个ATP分子可看作是由3个磷酸分子、1个核糖分子和1个腺嘌呤缩合而成的,所以ATP的化学式为________。ATP分子中的A代表________。

   (2)ATP在生物体内可以水解为二磷酸腺苷(简称ADP),ADP再水解就生成一磷酸腺苷(简称AMP)。因而在酶的作用下就形成如下奇妙的动态平衡:

   ATPADPAMP,其中ATP与ADP,ADP与AMP相对分子质量相差80。

   ①反应d属于下列反应中的________(填序号)。

   A.释能反应  B.吸能反应  C.水解反应  D.酯化反应

   ②设上列ADP结构中虚线的右侧用-M表示,即表示为写出ADP转化为AMP的化学方程式,________。

   (3)实际上,在ATP的两个高能磷酸键中,只有________不稳定。而ADP本身的结构比较稳定,一般不容易水解,所以上题ac和bd两组可逆反应中,经常在生物细胞中发生的是________。

(4)用1 molATP水解生成AMP所得的H3PO4去中和NaOH,最多需________mol-NaOH。

试题详情

23.(34分)

   (1)(16分)2002年3月25日,我国成功地发射了“神舟三号”宇宙飞船,中华民族在梦寐以求的飞天之路上又迈出了坚实的一步。“神舟三号”虽然没有载人,但在飞船上装有形体假人(装有人体新陈代谢模拟装置、模拟人生理信号设备等),能定量地模拟宇航员在太空中的重要生理参数。“神舟三号”进入太空后,将进行外层空间生命科学等一系列的科学实验。根据以上材料,结合所学生物学知识,回答以下问题:

   ①“神舟三号”宇宙飞船在发射加速升空和减速降落时,你认为模拟宇航员的形体假人应保持什么姿态?(   )

   A.站立于飞船中  B.平卧于飞船中  C.倒立姿态最好  D.任何姿态均可

   ②在宇宙飞船的船舱中,如果将一株植物幼苗平放在一个匀速旋转的圆盘上,给它提供生长所必需的条件。若干天后,该植物幼苗根、茎的生长情况是(   )

   A.根向下生长,茎向上生长   B.根向水平方向生长,茎向上生长

   C.根和茎都向水平方向生长   D.根向下生长,茎向水平方向生长

   ③为改善载人飞船上宇航员的饮食条件,生物工程学家Morris Benjaminson和他的同事研究出在太空中“种植”鱼肉的方法。该方法是将取下的金鱼肌细胞放在培养基中培养。一星期后,金鱼肌细胞就增加16%,这可避免食用活体动物产生生物垃圾及在宇宙飞船上宰杀动物的麻烦。

   A.如用示踪原子3H标记四种脱氧核苷酸,并加入此培养基中,待金鱼肌细胞恢复分裂后,发现其产生的子代肌细胞除细胞核外,在细胞质中也控测到3H的存在。在子代肌细胞质中,3H主要存在于________中。

   B.在培养基中“长出”的鱼肉含有丰富的蛋白质,此蛋白质是在金鱼肌细胞内基因的控制下,经________和________两个步骤合成的。

   ④在“神舟三号”船舱中,还携带有多种植物种子,返回地面后将这些种子进行种植,往往会得到新的变异性状。产生这种变异的来源是________,通常把这种育种的方式称为________。

   (2)(8分)

   癌症是由体细胞遗传物质的改变引起的。吸烟容易患肺癌,其患病率是不吸烟者的10.8倍,大多数致癌物质能提高生物的突变频率。某教师为了让学生明白吸烟的危害,让学生用蚕豆(染色体数目2n=12)观察细胞中的染色体变异,以证实“烟叶细胞中的诱变物质能引起根尖细胞的染色体变异”。请把下列实验补充完整并回答有关问题:

   材料、用具:10粒干的蚕豆种子、烟草浸出液、蒸馏水、培养皿以及必需的实验设备和药品。

   实验步骤:

   A.根尖的培养:

   a.加蒸馏水,使种子膨胀萌发,长出幼芽;

   b.________________________________________。

   c.为了得到更多的蚕豆根尖,应如何处理实验材料?

   B.临时装片的制作程序是:解离、漂洗、________和制片。

   C.观察:用显微镜先在低倍镜下找到蚕豆根尖的分生区细胞,然后换高倍镜观察。如果要寻找染色体变异的细胞,最好找到处于细胞周期的________期细胞。

试题详情


同步练习册答案