精英家教网 > 初中数学 > 题目详情
已知:抛物线y=x2+(b-1)x+c经过点P(-1,-2b)。
(1)求b+c的值;
(2)如果b=3,求这条抛物线的顶点坐标;
(3)如图所示,过点P作直线PA⊥y轴,交y轴于点A,交抛物线于另一点B,且BP=2PA,求这条抛物线所对应的二次函数关系式。
解:(1)依题意得:(-1)2+(b-1)(-1)+c=-2b,∴b+c=-2;
(2)当b=3时,c=-5,

抛物线的顶点坐标是(-1,-6);
(3)由P(-1,-2b)知PA=1,又BP=2PA,
∴BP=2,
∵B、P是抛物线上一对对称点,
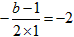
∴对称轴为x=-2,
,得到b=5,
又b+c=-2,∴c=-7,
∴抛物线所对应的二次函数关系式y=x2+4x-7。
练习册系列答案
相关习题

科目:初中数学 来源: 题型:

7、已知:抛物线y=x2+px+q向左平移2个单位,再向下平移3个单位,得到抛物线y=x2-2x-1,则原抛物线的顶点坐标是(  )

查看答案和解析>>

科目:初中数学 来源: 题型:

已知:抛物线y=x2-(2m+4)x+m2-10与x轴交于A、B两点,C是抛物线的顶点.
(1)用配方法求顶点C的坐标(用含m的代数式表示);
(2)“若AB的长为2
2
,求抛物线的解析式.”解法的部分步骤如下,补全解题过程,并简述步骤①的解题依据,步骤②的解题方法;
解:由(1)知,对称轴与x轴交于点D(
 
,0)
∵抛物线的对称性及AB=2
2

∴AD=DB=|xA-xD|=2
2

∵点A(xA,0)在抛物线y=(x-h)2+k上,
∴0=(xA-h)2+k①
∵h=xC=xD,将|xA-xD|=
2
代入上式,得到关于m的方程0=(
2
)2+(      )

(3)将(2)中的条件“AB的长为2
2
”改为“△ABC为等边三角形”,用类似的方法求出此抛物线的解析式.

查看答案和解析>>

科目:初中数学 来源: 题型:

已知:抛物线y=x2+bx+c的图象经过(1,6)、(-1,2)两点.
求:这个抛物线的解析式、对称轴及顶点坐标.

查看答案和解析>>

科目:初中数学 来源: 题型:

已知:抛物线y=-x2-2(m-1)x+m+1与x轴交于a(-1,0),b(3,0),则m为
2
2

查看答案和解析>>

科目:初中数学 来源: 题型:

(2010•集美区模拟)已知:抛物线y=x2+(m-1)x+m-2与x轴相交于A(x1,0),B(x2,0)两点,且x1<1<x2
(1)求m的取值范围;
(2)记抛物线与y轴的交点为C,P(x3,m)是线段BC上的点,过点P的直线与抛物线交于点Q(x4,y4),若四边形POCQ是平行四边形,求抛物线所对应的函数关系式.

查看答案和解析>>

同步练习册答案