精英家教网 > 初中数学 > 题目详情
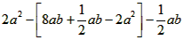
已知|a+1|+(b-2)2=0,求2a2-[8ab+(ab-4a2)]-ab的值。
解:原式===
又∵a+1=0,b-2=0,
∴a=-1,b=2,
∴原式==4+18=22
练习册系列答案
相关习题

科目:初中数学 来源: 题型:

4、如图为某班35名学生在某次社会实践活动中拣废弃的矿泉水瓶情况条形统计图,图中上面部分数据破损导致数据不完全.已知此次活动中学生拣到矿泉水瓶个数中位数是5个,则根据统计图,下列选项中的(  )数值无法确定.

查看答案和解析>>

科目:初中数学 来源: 题型:

已知c<0,0<|a|<|b|<|c|,
b2c
a
=-
b
a
ac
,则a、b、c由小到大的顺序排列
 

查看答案和解析>>

科目:初中数学 来源: 题型:

精英家教网如图,已知矩形ABCD,OA与x轴正半轴夹角为60°,点A的横坐标为2,点C的横坐标为-
3
2
,则点B的坐标为
 

查看答案和解析>>

科目:初中数学 来源: 题型:

已知方程组
x+y=2
y+z=3
z+x=7
,则x+y+z等于
 

查看答案和解析>>

科目:初中数学 来源: 题型:

已知实数a、b(a≠b)分别满足a2+2a=2,b2+2b=2.求
1
a
+
1
b
的值.

查看答案和解析>>

同步练习册答案