精英家教网 > 初中物理 > 题目详情

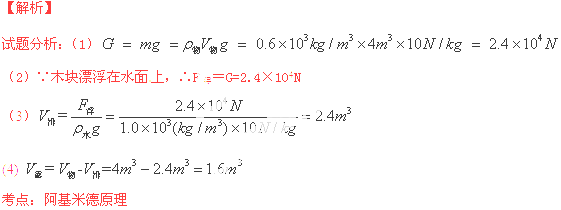
密度是0.6×103 kg/m3的木块,体积是4米3,当它浮在水面上时,求:(1)木块重力;(2)木块受到的浮力;(3)木块排开水的体积;(4)木块露出水面的体积。

 

【答案】(1) 2.4×104N;(2)2.4×104N;(3)2.4m3;(4)1.6m3

练习册系列答案
相关习题

科目:初中物理 来源: 题型:

密度是0.6×103 kg/m3的木块,体积是4m3.当它浮在水面上时,取g=10N/kg,
求:(1)木块质量;(2)木块受到的浮力;(3)木块排开水的体积.

查看答案和解析>>

科目:初中物理 来源: 题型:

密度是0.6×103 kg/m3的木块,体积是4m3当它浮在水面上时,取g=10N/kg,求:
(1)木块重力;
(2)木块受到的浮力;
(3)木块排开水的体积;
(4)木块露出水面的体积.

查看答案和解析>>

科目:初中物理 来源: 题型:

密度是0.6×103千克/米3的木块,体积是0.2米3,当它漂浮在水面上时,求:
(1)木块的重力;  
(2)木块受到的浮力;   
(3)木块露出水面的体积.

查看答案和解析>>

科目:初中物理 来源: 题型:

有一个重6N的木块,轻轻地放入一个已装满水的杯中,则木块静止时,从杯中溢出的水重力是
6
6
N.若木块密度是0.6×1
0
3
 
kg/
m
3
 
,则要将木块完全浸没在水中,还必须在木块上施加竖直向下的力
4
4
N.

查看答案和解析>>

科目:初中物理 来源: 题型:

密度是0.6×103千克/米3的木块,体积是2米3,当它漂浮在水面上时,求:
(g=10牛/千克)
(1)木块的质量;
(2)木块受到的重力;
(3)木块受到的浮力;
(4)木块排开水的体积;
(5)木块露出水面的体积.

查看答案和解析>>

同步练习册答案