精英家教网 > 高中数学 > 题目详情
抛物线C的顶点在原点,焦点F与双曲线=1的右焦点重合,过点P(2,0)且斜率为1的直线l与抛物线C交于A、B两点.
(1)求弦长|AB|;
(2)求弦AB中点到抛物线准线的距离.
【答案】分析:(1)由题意可得F(3,0),从而可得抛物线的方程,及过点P得直线方程,联立方程可得x2-16x+4=0
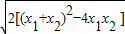
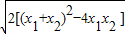
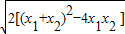
AB=,根据方程的根与系数的关系代入即可求解
(2)设AB得中点为M(x,y),分别过点AMB做准线的垂线,垂足分别为A′,M′,B′,由梯形得性质可得,=(x1+3+x2+3)×,结合(1)可求
解答:解:(1)由题意可得双曲线的右焦点(3,0),故F(3,0)
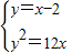
∴抛物线的方程为y2=12x,过点P得直线方程为y=x-2
联立方程可得x2-16x+4=0设A(x1,y1)B(x2,y2
则x1+x2=16,x1x2=4
AB==
(2)设AB得中点为M(x,y
分别过点AMB做准线的垂线,垂足分别为A′,M′,B′,
则由梯形得性质可得,=(x1+3+x2+3)×=
点评:本题考查了由抛物线的性质求解抛物线的方程,关键是看清题中给出的条件,灵活运用方程的根与系数的关系及弦长公式AB=进行求解.
练习册系列答案
相关习题

科目:高中数学 来源: 题型:

精英家教网已知抛物线C的顶点在原点,焦点为F(0,1).
(Ⅰ)求抛物线C的方程;
(Ⅱ)在抛物线C上是否存在点P,使得过点P的直线交C于另一点Q,满足PF⊥QF,且PQ与C在点P处的切线垂直?若存在,求出点P的坐标;若不存在,请说明理由.

查看答案和解析>>

科目:高中数学 来源: 题型:

已知抛物线C的顶点在原点,焦点为(0,1),点P(0,m)(m≠0).
(1)求抛物线的方程;
(2)设过点P且斜率为1的直线交抛物线C于A、B两点,点P关于原点的对称点Q,若m<0,求使得△QAB面积最大的m的值;
(3)设过P点的直线交抛物线C于M、N两点,是否存在这样的点P,使得
1
|PM|
+
1
|PN|
为定值?若存在,求点P的坐标,若不存在,说明理由.

查看答案和解析>>

科目:高中数学 来源: 题型:

已知抛物线C的顶点在原点,焦点坐标为F(2,0),点P的坐标为(m,0)(m≠0),设过点P的直线l交抛物线C于A,B两点,点P关于原点的对称点为点Q.
(1)当直线l的斜率为1时,求△QAB的面积关于m的函数表达式.
(2)试问在x轴上是否存在一定点T,使得TA,TB与x轴所成的锐角相等?若存在,求出定点T 的坐标,若不存在,请说明理由.

查看答案和解析>>

科目:高中数学 来源: 题型:

抛物线C的顶点在原点,焦点F与双曲线
x2
3
-
y2
6
=1
的右焦点重合,过点P(2,0)且斜率为1的直线l与抛物线C交于A、B两点.
(1)求弦长|AB|;   (2)试判断以弦AB为直径的圆与抛物线准线的位置关系.

查看答案和解析>>

科目:高中数学 来源: 题型:

已知抛物线C的顶点在原点,焦点在x轴上,且抛物线上有一点P(4,m)到焦点的距离为5.
(Ⅰ)求抛物线C的方程;
(Ⅱ)若抛物线C与直线y=x-4相交于不同的两点A、B,求证:OA⊥OB.

查看答案和解析>>

同步练习册答案