精英家教网 > 高中数学 > 题目详情

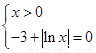
函数的零点个数是(    )

A、2个   B、   1 个    C、4个   D、3个

 

【答案】

D

【解析】

试题分析:由,解得,由,解得,故有三个零点.

考点:分段函数零点问题.

 

练习册系列答案
相关习题

科目:高中数学 来源: 题型:

8、二次函数y=ax2+bx+c中,a•c<0,则函数的零点个数是(  )

查看答案和解析>>

科目:高中数学 来源: 题型:

14、二次函数y=ax2+bx+c中,若ac<0,则函数的零点个数是
2
个.

查看答案和解析>>

科目:高中数学 来源: 题型:

若二次函数是y=x2-4x+4,则这个函数的零点个数是 (  )

查看答案和解析>>

科目:高中数学 来源: 题型:

二次函数f(x)=ax2+bx+c(a≠0)中a、c异号,则函数的零点个数是(  )

查看答案和解析>>

科目:高中数学 来源:2014届重庆市高二上学期期末考试理科数学试卷(解析版) 题型:填空题

函数的零点个数是________.

 

查看答案和解析>>

同步练习册答案