精英家教网 > 高中数学 > 题目详情
已知定点A(1,0)和定直线x=-1上的两个动点E、F,满足,动点P满足(其中O为坐标原点).
(1)求动点P的轨迹C的方程;
(2)过点B(0,2)的直线l与(1)中轨迹C相交于两个不同的点M、N,若,求直线l的斜率的取值范围.
【答案】分析:(1)用坐标表示出的坐标,利用即得动点P的轨迹方程;
(2)设出直线的方程与抛物线方程联立,利用韦达定理及,利用数量积公式,即可求得直线l的斜率的取值范围.
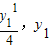
解答:解:(1)设P(x,y),E(-1,y1),F(-1,y2)(y1、y2均不为0)
得y1=y,即E(-1,y)
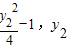
由FO∥OP得,即F(-1,-
,∴
∴(-2,y1)•(2,y2)=0
∴y1y2=-4,∴y2=4x(x≠0)
∴动点P的轨迹C的方程为y2=4x(x≠0)
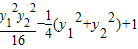
(2)设直线l的方程y=kx+2(k≠0),M(),N(
联立得消去x得ky2-4y+8=0
,且△=16-32k>0即k<
=()•()=()•()+y1y2
==     
,∴-12<k<0,满足k<
∴-12<k<0.
点评:本题考查轨迹方程,考查直线与抛物线的位置关系,考查向量知识的运用,考查韦达定理,考查学生的计算能力,属于中档题.
练习册系列答案
相关习题

科目:高中数学 来源: 题型:

精英家教网如图,已知定点A(1,0),定圆C:(x+1)2+y2=8,M为圆C上的一个动点,点P在线段AM上,点N在线段CM上,且满足
AM
=2
AP
NP
AM
=0
,则点N的轨迹方程是
 

查看答案和解析>>

科目:高中数学 来源: 题型:

已知函数f(x)=
ax
x+b
,且f(1)=1,f(-2)=4.
(1)求a、b的值;
(2)已知定点A(1,0),设点P(x,y)是函数y=f(x)(x<-1)图象上的任意一点,求|AP|的最小值,并求此时点P的坐标;
(3)当x∈[1,2]时,不等式f(x)≤
2m
(x+1)|x-m|
恒成立,求实数m的取值范围.

查看答案和解析>>

科目:高中数学 来源: 题型:

已知定点A(1,0)和定直线x=-1上的两个动点E、F,满足
AE
AF
,动点P满足
EP
OA
FO
OP
(其中O为坐标原点).
(1)求动点P的轨迹C的方程;
(2)过点B(0,2)的直线l与(1)中轨迹C相交于两个不同的点M、N,若
AM
AN
<0
,求直线l的斜率的取值范围.

查看答案和解析>>

科目:高中数学 来源: 题型:

已知定点A(1,0),定直线l:x=5,动点M(x,y)
(Ⅰ)若M到点A的距离与M到直线l的距离之比为
5
5
,试求M的轨迹曲线C1的方程.
(Ⅱ)若曲线C2是以C1的焦点为顶点,且以C1的顶点为焦点,试求曲线C2的方程.

查看答案和解析>>

科目:高中数学 来源: 题型:

已知定点A(1,0)和定圆B:x2+y2+2x-15=0,动圆P和定圆B相切并过A点,
(1)求动圆P的圆心P的轨迹C的方程.
(2)设Q是轨迹C上任意一点,求∠AQB的最大值.

查看答案和解析>>

同步练习册答案