【题目】某沙漠地区经过治理,生态系统得到很大改善,野生动物数量有所增加.为调查该地区某种野生动物的数量,将其分成面积相近的200个地块,从这些地块中用简单随机抽样的方法抽取20个作为样区,调查得到样本数据(xi,yi)(i=1,2,…,20),其中xi和yi分别表示第i个样区的植物覆盖面积(单位:公顷)和这种野生动物的数量,并计算得
,
,
,
,
.
(1)求该地区这种野生动物数量的估计值(这种野生动物数量的估计值等于样区这种野生动物数量的平均数乘以地块数);
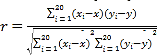
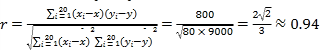
(2)求样本(xi,yi)(i=1,2,…,20)的相关系数(精确到0.01);
(3)根据现有统计资料,各地块间植物覆盖面积差异很大.为提高样本的代表性以获得该地区这种野生动物数量更准确的估计,请给出一种你认为更合理的抽样方法,并说明理由.
附:相关系数r=
,
≈1.414.
【答案】(1)
;(2)
;(3)详见解析
【解析】
(1)利用野生动物数量的估计值等于样区野生动物平均数乘以地块数,代入数据即可;
(2)利用公式
计算即可;
(3)各地块间植物覆盖面积差异较大,为提高样本数据的代表性,应采用分层抽样.
(1)样区野生动物平均数为
,
地块数为200,该地区这种野生动物的估计值为![]()
(2)样本
(i=1,2,…,20)的相关系数为
![]()
(3)由(2)知各样区的这种野生动物的数量与植物覆盖面积有很强的正相关性,
由于各地块间植物覆盖面积差异很大,从俄各地块间这种野生动物的数量差异很大,
采用分层抽样的方法较好地保持了样本结构与总体结构得以执行,提高了样本的代表性,
从而可以获得该地区这种野生动物数量更准确的估计.
【点晴】
本题主要考查平均数的估计值、相关系数的计算以及抽样方法的选取,考查学生数学运算能力,是一道容易题.
科目:高中数学 来源: 题型:
【题目】已知椭圆
的中心在原点,左焦点
、右焦点
都在
轴上,点
是椭圆
上的动点,
的面积的最大值为
,在
轴上方使
成立的点
只有一个.
(1)求椭圆
的方程;
(2)过点
的两直线
,
分别与椭圆
交于点
,
和点
,
,且
,比较
与
的大小.
查看答案和解析>>
科目:高中数学 来源: 题型:
【题目】已知椭圆C1:
(a>b>0)的右焦点F与抛物线C2的焦点重合,C1的中心与C2的顶点重合.过F且与x轴重直的直线交C1于A,B两点,交C2于C,D两点,且|CD|=
|AB|.
(1)求C1的离心率;
(2)若C1的四个顶点到C2的准线距离之和为12,求C1与C2的标准方程.
查看答案和解析>>
科目:高中数学 来源: 题型:
【题目】在棱长为1的正方体ABCD﹣A1B1C1D1中,AC∩BD=O,E是线段B1C(含端点)上的一动点,则
①OE⊥BD1;
②OE
面A1C1D;
③三棱锥A1﹣BDE的体积不是定值;
④OE与A1C1所成的最大角为90°.
上述命题中正确的个数是( )
![]()
A.1B.2C.3D.4
查看答案和解析>>
科目:高中数学 来源: 题型:
【题目】如图,三棱锥
中,侧面
是边长为
的正三角形,
,平面
平面
,把平面
沿
旋转至平面
的位置,记点
旋转后对应的点为
(不在平面
内),
、
分别是
、
的中点.
![]()
(1)求证:
;
(2)求三棱锥
的体积的最大值.
查看答案和解析>>
科目:高中数学 来源: 题型:
【题目】如图,四棱锥
中,底面ABCD为矩形,点E在PA线段上,PC
平面BDE
![]()
(1)请确定点E的位置;并说明理由.
(2)若
是等边三角形,
, 平面PAD
平面ABCD,四棱锥
的体积为
,求点E到平面PCD的距离.
查看答案和解析>>
科目:高中数学 来源: 题型:
【题目】已知F1(﹣c,0),F2(c,0)分别为双曲线C:
1(a>0,b>0)的左、右焦点,直线l:
1与C交于M,N两点,线段MN的垂直平分线与x轴交于T(﹣5c,0),则C的离心率为( )
A.
B.
C.
D.![]()
查看答案和解析>>
湖北省互联网违法和不良信息举报平台 | 网上有害信息举报专区 | 电信诈骗举报专区 | 涉历史虚无主义有害信息举报专区 | 涉企侵权举报专区
违法和不良信息举报电话:027-86699610 举报邮箱:58377363@163.com