精英家教网 > 高中数学 > 题目详情
不等式在t∈(0,2]上恒成立,则a的取值范围是( )
A.
B.
C.
D.
【答案】分析:令f(t)==,g(t)===,由不等式在t∈(0,2]上恒成立即f(t)max≤a≤g(t)min,利用函数的单调性可求
解答:解:令f(t)==,则可得f(t)在t∈(0,2]单调递增,则有f(t)max=
令g(t)===在(0,2}单调递减,则有g(t)min=g(2)=1
∵不等式在t∈(0,2]上恒成立
∴f(t)max≤a≤g(t)min

故选:B
点评:本题主要考查了利用函数y=x+的单调性求解函数的最值,及不等式恒成立与函数最值之间的转化.
练习册系列答案
相关习题

科目:高中数学 来源: 题型:

若不等式
t2
t+2
≤a
t2+1
t
在t∈(0,2]上恒成立,则a的取值范围是
[1,2]
[1,2]

查看答案和解析>>

科目:高中数学 来源: 题型:

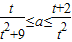
若不等式
t
t2+9
≤a≤
t+2
t2
在t∈(0,2]上恒成立,则a的取值范围是(  )

查看答案和解析>>

科目:高中数学 来源: 题型:填空题

若不等式数学公式在t∈(0,2]上恒成立,则实数a的取值范围是________.

查看答案和解析>>

科目:高中数学 来源: 题型:单选题

不等式数学公式在t∈(0,2]上恒成立,则a的取值范围是


  1. A.
    数学公式
  2. B.
    数学公式
  3. C.
    数学公式
  4. D.
    数学公式

查看答案和解析>>

同步练习册答案