精英家教网 > 高中数学 > 题目详情
某家电商场根据2005年彩电市场调查显示:“康佳”彩电占市场份额的19%,“长虹”彩电占市场份额的18%,“TCL”彩电占市场份额的17%,“海信”彩电占市场份额的8%,“熊猫”彩电占市场份额的3%.商场根据以上数据进“康佳”“海信”“熊猫”三种品牌的彩电共3 000台,现欲从这三种品牌的彩电中随机抽取60台进行售后服务跟踪调查,请设计一个抽样方案,并简述其步骤.若商场进的是“康佳”“长虹”和“TCL”三种品牌的彩电3 000台,该抽样方案该如何设计调整?

思路分析:因为总体共有彩电5 000台,数量较大,所以不宜采用简单随机抽样.又由于三种彩电的进货数量差异较大,故也不宜用系统抽样的方法,而用分层抽样为妥.

解:在随机抽取的60台彩电中:“康佳”彩电的数量应为×60=38台;“海信”彩电的数量应为×60=16台;“熊猫”彩电的数量应为×60=6台.

因此在3 000×=1 900台“康佳”彩电中采用系统抽样法抽取38台:将1 900台“康佳”彩电编号0001—1900,从0001号开始顺次每50个一组,等分成38组,从1—50个数中随机选取1个,再将编号为这个数加上50的倍数的彩电抽取出来.

类似地可从3 000×=800台“海信”彩电中采用系统抽样的方法抽取16台,从3 000×=300台“熊猫”彩电中采用系统抽样的方法抽取6台.

如果商场进的货是“康佳”“长虹”和“TCL”彩电,因为三者所占的市场份额差异不大,因此可以采用系统抽样的方法.

首先将3 000×≈1 056台“康佳”彩电顺次编号0001—1056,将3 000×=1 000台“长虹”彩电顺次编号1057—2056,将3 000×≈944台“TCL”彩电顺次编号为2057—3000.

然后,将号码0001—3000从0 001开始顺次每50个一组,共分成60组.

    最后,从1~50个数中随机抽取1个,再将编号为这个数加上50的倍数的彩电共60台抽取出来,作为售后服务跟踪调查对象.

    巧解提示 抽样方法的实质是:在抽样过程中,每个个体被抽取的概率相等,并且抽样者对总体结构有一定的了解.本题考查系统抽样的有关概念,系统抽样适用于个体较多但均衡的总体.判断是否为系统抽样(简单随机抽样和分层抽样也是这样),应首先看能否在抽样前知道总体是由什么构成的,抽样的方法能否保证每个个体按事先规定的概率入样(即等可能抽样),再看能否将总体分成几个均衡的部分.

练习册系列答案
相关习题

科目:高中数学 来源: 题型:

改革开放以来,我国高等教育事业有了突飞猛进的发展,有人记录了某村2001到2005年五年间每年考入大学的人数,为了方便计算,2001年编号为1,2002年编号为2,…,2005年编号为5,数据如下:
年份(x) 1 2 3 4 5
人数(y) 3 5 8 11 13
(1)从这5年中随机抽取两年,求考入大学的人数至少有1年多于10人的概率.
(2)根据这5年的数据,利用最小二乘法求出y关于x的回归方程
y
=
b
x+
a
,并计算第8年的估计值.
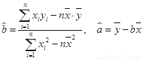
参考:用最小二乘法求线性回归方程系数公式
b
=
n
i=1
xiyi-n
.
x
.
y
n
i=1
xi2-n
.
x
2
a
=
.
y
-b
.
x

查看答案和解析>>

科目:高中数学 来源:2015届湖北省高二上学期期中考试理科数学试卷(解析版) 题型:解答题

改革开放以来,我国高等教育事业有了突飞猛进的发展,有人记录了某村2001到2005年五年间每年考入大学的人数,为了方便计算,2001年编号为1,2002年编号为2,……,2005年编号为5,数据如下:

年份(x)

1

2

3

4

5

人数(y)

3

5

8

11

13

(1)从这5年中随机抽取两年,求考入大学的人数至少有年多于10人的概率.

(2)根据这年的数据,利用最小二乘法求出关于的回归方程,并计算第年的估计值。

参考:用最小二乘法求线性回归方程系数公式

 

查看答案和解析>>

科目:高中数学 来源:2015届湖北省高二上学期期中考试文科数学试卷(解析版) 题型:解答题

改革开放以来,我国高等教育事业有了突飞猛进的发展,有人记录了某村2001到2005年五年间每年考入大学的人数,为了方便计算,2001年编号为1,2002年编号为2,……,2005年编号为5,数据如下:

年份(x)

1

2

3

4

5

人数(y)

3

5

8

11

13

(1)从这5年中随机抽取两年,求考入大学的人数至少有年多于10人的概率.

(2)根据这年的数据,利用最小二乘法求出关于的回归方程,并计算第年的估计值。

参考:用最小二乘法求线性回归方程系数公式

 

查看答案和解析>>

科目:高中数学 来源: 题型:

改革开放以来,我国高等教育事业有了突飞猛进的发展,有人记录了某村2001到2005年五年间每年考入大学的人数,为了方便计算,2001年编号为1,2002年编号为2,……,2005年编号为5,数据如下:

年份(x)

1

2

3

4

5

人数(y)

3

5

8

11

13

(1)从这5年中随机抽取两年,求考入大学的人数至少有年多于10人的概率.

(2)根据这年的数据,利用最小二乘法求出关于的回归方程,并计算第年的估计值。

参考:用最小二乘法求线性回归方程系数公式

查看答案和解析>>

同步练习册答案