精英家教网 > 高中数学 > 题目详情
已知数列{an}满足:,当且仅当n=3时,an最小,则实数a的取值范围为( )
A.(-1,3)
B.
C.
D.(2,4)
【答案】分析:题目给出了数列的首项和递推式,且递推式符合an+1=an+f(n)型,所以首先运用累加的办法求出an的通项,然后结合函数思想求解使a3取最小值时的a的范围.
解答:由an+1=an+2(n-a)+1
得:a2=a1+2(1-a)+1
    a3=a2+2(2-a)+1
    a4=a3+2(3-a)+1

    an=an-1+2(n-1-a)+1
累加得:an=a1+2[1+2+3+…+(n-1)-(n-1)a]+n-1
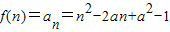
=
因为,所以=n2-2an+a2-1
,该函数开口向上,对称轴方程为
因为n∈N*,所以当时,f(n)=an最小.
故选C.
点评:培养学生观察、分析、归纳、推理的能力;在领会函数与数列关系的前提下,把研究函数的方法迁移来研究数列,培养学生的知识、方法迁移能力.提高学生分析问题和解决问题的能力.
练习册系列答案
相关习题

科目:高中数学 来源: 题型:

已知数列{an}满足:a1=1且an+1=
3+4an
12-4an
, n∈N*

(1)若数列{bn}满足:bn=
1
an-
1
2
(n∈N*)
,试证明数列bn-1是等比数列;
(2)求数列{anbn}的前n项和Sn
(3)数列{an-bn}是否存在最大项,如果存在求出,若不存在说明理由.

查看答案和解析>>

科目:高中数学 来源: 题型:

已知数列{an}满足
1
2
a1+
1
22
a2+
1
23
a3+…+
1
2n
an=2n+1
则{an}的通项公式
 

查看答案和解析>>

科目:高中数学 来源: 题型:

已知数列{an}满足:a1=
3
2
,且an=
3nan-1
2an-1+n-1
(n≥2,n∈N*).
(1)求数列{an}的通项公式;
(2)证明:对于一切正整数n,不等式a1•a2•…an<2•n!

查看答案和解析>>

科目:高中数学 来源: 题型:

已知数列{an}满足an+1=|an-1|(n∈N*
(1)若a1=
54
,求an
(2)若a1=a∈(k,k+1),(k∈N*),求{an}的前3k项的和S3k(用k,a表示)

查看答案和解析>>

科目:高中数学 来源: 题型:

(2012•北京模拟)已知数列{an}满足an+1=an+2,且a1=1,那么它的通项公式an等于
2n-1
2n-1

查看答案和解析>>

同步练习册答案