精英家教网 > 高中数学 > 题目详情
已知椭圆的两个焦点坐标分别为(0,-2),(0,2),并且经过点(-,-),则椭圆的方程是( )
A.
B.
C.
D.
【答案】分析:设出椭圆方程,利用椭圆的两个焦点坐标分别为(0,-2),(0,2),并且经过点(-,-),建立方程组,求得几何量,即可求出椭圆的方程.
解答:解:由题意,设椭圆的方程为
∵椭圆的两个焦点坐标分别为(0,-2),(0,2),并且经过点(-,-),

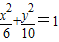
∴a2=10,b2=6
∴椭圆的方程是
故选D.
点评:本题考查椭圆的标准方程,考查椭圆的几何性质,考查学生的计算能力,属于基础题.
练习册系列答案
相关习题

科目:高中数学 来源: 题型:

已知椭圆的两个焦点坐标分别为(-2,0),(2,0),并且经过点(
5
2
,-
3
2
)
,则它的标准方程为
x2
10
+
y2
6
=1
x2
10
+
y2
6
=1

查看答案和解析>>

科目:高中数学 来源: 题型:

已知椭圆的两个焦点坐标分别为(0,-2),(0,2),并且经过点(-
3
2
,-
5
2
),则椭圆的方程是(  )

查看答案和解析>>

科目:高中数学 来源: 题型:

写出适合下列条件的曲线方程:
(1)已知椭圆的两个焦点坐标分别是(-2,0),(2,0)并且经过(
5
2
,-
3
2
)
求它的标准方程.
(2)已知双曲线两个焦点分别为F1(-5,0),F2(5,0),双曲线上一点P到F1,F2距离差的绝对值等于6,求双曲线的标准方程.

查看答案和解析>>

科目:高中数学 来源: 题型:

已知椭圆的两个焦点坐标分别为(0,-2),(0,2),并且经过点(-
3
2
,-
5
2
),则椭圆的方程是
 

查看答案和解析>>

科目:高中数学 来源:设计选修数学2-1苏教版 苏教版 题型:044

已知椭圆的两个焦点坐标分别是(-3,0)、(3,0),椭圆经过点(5,0),求椭圆的标准方程.

查看答案和解析>>

同步练习册答案