精英家教网 > 高中数学 > 题目详情
已知M(-3,0)﹑N(3,0),P为坐标平面上的动点,且直线PM与直线PN的斜率之积为常数m(m≥-1,m≠0).
(1)求P点的轨迹方程并讨论轨迹是什么曲线?
(2)若,P点的轨迹为曲线C,过点Q(2,0)斜率为k1的直线?1与曲线C交于不同的两点A﹑B,AB中点为R,直线OR(O为坐标原点)的斜率为k2,求证k1k2为定值;
(3)在(2)的条件下,设,且λ∈[2,3],求?1在y轴上的截距的变化范围.
【答案】分析:(1)根据斜率公式得出,然后分情况讨论曲线类型;
(2)首先根据(1)求出曲线方程,然后联立直线方程和曲线方程并利用韦达定理得出y1+y2,y1y2,从而求得R的坐标,进而得出k1k2的值.
(3)根据得y2=-λy1然后代入(2)中①②式,从而得出,然后根据在λ∈[2,3]上单调递增调得出,即可得出结果.
解答:解:(1)设p(x,y)
,得y2=m(x2-9),
若m=-1,则方程为x2+y2=9,轨迹为圆(除A B点);
若-1<m<0,方程为,轨迹为椭圆(除A B点);
若m>0,方程为,轨迹为双曲线(除A B点).
(2)时,曲线C方程为,设?1的方程为:x=ty+2
与曲线C方程联立得:(5t2+9)y2+20ty-25=0,
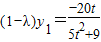
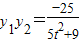
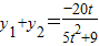
设A(x1,y1),B(x2,y2),则①,②,
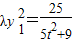
可得
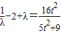
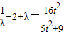
(3)由得y2=-λy1代入①②得:③,④,
③式平方除以④式得:
在λ∈[2,3]上单调递增,,?1在y轴上的截距为b,=
点评:本题考查了轨迹方程、函数值域以及直线与圆锥曲线的综合问题,对于直线与圆锥曲线一般联立方程设而不求的方法求解,此题综合性强,属于难题.
练习册系列答案
相关习题

科目:高中数学 来源: 题型:

已知M(-3,0)﹑N(3,0),P为坐标平面上的动点,且直线PM与直线PN的斜率之积为常数m(m≥-1,m≠0).
(1)求P点的轨迹方程并讨论轨迹是什么曲线?
(2)若m=-
5
9
,P点的轨迹为曲线C,过点Q(2,0)斜率为k1的直线?1与曲线C交于不同的两点A﹑B,AB中点为R,直线OR(O为坐标原点)的斜率为k2,求证k1k2为定值;
(3)在(2)的条件下,设
QB
AQ
,且λ∈[2,3],求?1在y轴上的截距的变化范围.

查看答案和解析>>

科目:高中数学 来源: 题型:

已知M(3,0)是圆x2+y2-8x-2y+10=0内一点,则过点M最长的弦所在的直线方程是
 

查看答案和解析>>

科目:高中数学 来源:2012-2013学年浙江省宁波市金兰合作组织高二(上)期中数学试卷(文科)(解析版) 题型:填空题

已知M(3,0)是圆x2+y2-8x-2y+10=0内一点,则过点M最长的弦所在的直线方程是   

查看答案和解析>>

科目:高中数学 来源:2012-2013学年浙江省宁波市金兰合作组织高二(上)期中数学试卷(文科)(解析版) 题型:填空题

已知M(3,0)是圆x2+y2-8x-2y+10=0内一点,则过点M最长的弦所在的直线方程是   

查看答案和解析>>

科目:高中数学 来源:2010年湖北省武汉八中高考数学二模试卷(文科)(解析版) 题型:填空题

已知M(3,0)是圆x2+y2-8x-2y+10=0内一点,则过点M最长的弦所在的直线方程是   

查看答案和解析>>

同步练习册答案