精英家教网 > 高中数学 > 题目详情
请您设计一个帐篷,它下部的形状是高为1m的正六棱柱,上部的形状是侧棱长为3m的正六棱锥(如图所示)。试问当帐篷的顶点O到底面中心O1的距离为多少时,帐篷的体积最大?
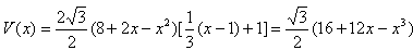
解:设OO1为xm,则
设题设可得正六棱锥底面边长为(单位:m)
于是底面正六边形的面积为(单位:m2
帐篷的体积为(单位:m3
求导数,得
,解得(不合题意,舍去),x=2
时,为增函数
时,为减函数
所以当x=2时,V(x)最大
答:当OO1为2m时,帐逢的体积最大。
练习册系列答案
相关习题

科目:高中数学 来源: 题型:

精英家教网请您设计一个帐篷.它下部的形状是高为1m的正六棱柱,上部的形状是侧棱长为3m的正六棱锥(如图所示).试问当帐篷的顶点O到底面中心O1的距离为多少时,帐篷的体积最大?

查看答案和解析>>

科目:高中数学 来源: 题型:

(06年江苏卷)(14分)

请您设计一个帐篷。它下部的形状是高为1m的正六棱柱,上部的形状是侧棱长为3m的正

六棱锥(如右图所示)。试问当帐篷的顶点O到底面中心的距离为多少时,帐篷的体积最

大?

查看答案和解析>>

科目:高中数学 来源: 题型:

请您设计一个帐篷。它下部的形状是高为1m的正六棱柱,上部的形状是侧棱长为3m的正六棱锥(如右图所示)。试问当帐篷的顶点O到底面中心的距离为多少时,帐篷的体积最大?

查看答案和解析>>

科目:高中数学 来源: 题型:

(18)请您设计一个帐篷。它下部的形状是高为1m的正六棱柱,上部的形状是侧棱长为3m的正六棱锥(如下图所示)。试问当帐篷的顶点O到底面中心O1的距离为多少时,帐篷的体积最大?

查看答案和解析>>

科目:高中数学 来源:选修2-2综合测试(解析版) 题型:解答题

请您设计一个帐篷.它下部的形状是高为1m的正六棱柱,上部的形状是侧棱长为3m的正六棱锥(如图所示).试问当帐篷的顶点O到底面中心o1的距离为多少时,帐篷的体积最大?

查看答案和解析>>

同步练习册答案