精英家教网 > 高中数学 > 题目详情
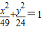
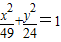
求与椭圆 有公共焦点,且离心率是的双曲线方程,并求其渐近线方程.
【答案】分析:先求出双曲线的几何量,可得双曲线的标准方程,即可求其渐近线方程.
解答:解:椭圆 中c==5,
∵双曲线与椭圆 有公共焦点,且离心率是
∴c=5,a=4,
∴b2=25-16=9
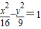
∴双曲线方程为:
其渐近线方程为:
点评:本题考查椭圆、双曲线的标准方程,考查学生的计算能力,属于基础题.
练习册系列答案
相关习题

科目:高中数学 来源: 题型:

求与椭圆有公共焦点,离心率为的双曲线方程。

                                              

查看答案和解析>>

科目:高中数学 来源: 题型:解答题

求与椭圆数学公式有公共焦点,且离心率为2的双曲线方程.

查看答案和解析>>

科目:高中数学 来源:2005-2006学年广东省珠海市高二质量检测数学试卷(文科)(解析版) 题型:解答题

求与椭圆有公共焦点,且一条渐近线为的双曲线的方程.

查看答案和解析>>

科目:高中数学 来源:2009-2010学年湖南省长沙市长郡中学高二(上)期中数学试卷(文科)(解析版) 题型:解答题

求与椭圆有公共焦点,且离心率的双曲线的方程.

查看答案和解析>>

科目:高中数学 来源:2010-2011学年福建省三明市大田七中高二(上)月考数学试卷(文科)(解析版) 题型:解答题

求与椭圆有公共焦点,且离心率为2的双曲线方程.

查看答案和解析>>

同步练习册答案