精英家教网 > 高中数学 > 题目详情
已知双曲线的方程为,它的一个顶点到一条渐近线的距离为(c为双曲线的半焦距长),则双曲线的离心率为( )
A.
B.
C.
D.
【答案】分析:不妨设它的一个顶点(a,0)到一条渐近线y=的距离为,由此利用点到直线的距离建立方程,根据a>b,即可确定双曲线的离心率.
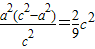
解答:解:不妨设它的一个顶点(a,0)到一条渐近线y=的距离为


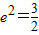
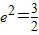
∴2e4-9e2+9=0
∴e2=3或
∵a>b,∴2a2>c2
∴e2<2


故选B.
点评:本题重点考查双曲线的几何性质,考查点到直线距离公式的运用,根据一个顶点到一条渐近线的距离为,建立方程是解题的关键.
练习册系列答案
相关习题

科目:高中数学 来源: 题型:

已知双曲线的方程为
x2
a2
-
y2
b2
=1(a>0,b>0)
,过左焦点F1作斜率为
3
3
的直线交双曲线的右支于点P,且y轴平分线段F1P,则双曲线的离心率是(  )
A、
2
B、
5
+1
C、
3
D、2+
3

查看答案和解析>>

科目:高中数学 来源: 题型:

已知双曲线的方程为16x2-9y2=144.
(1)求双曲线的焦点坐标、离心率和准线方程;
(2)求以双曲线的中心为顶点,左顶点为焦点的抛物线的方程.

查看答案和解析>>

科目:高中数学 来源: 题型:

(2012•济南三模)已知双曲线的方程为
x2
a2
-
y2
b2
=1
(a>0,b>0),双曲线的一个焦点到一条渐近线的距离为
5
3
c
(c为双曲线的半焦距长),则双曲线的离心率为(  )

查看答案和解析>>

科目:高中数学 来源: 题型:

(2013•宝山区二模)已知双曲线的方程为
x23
-y2=1
,则此双曲线的焦点到渐近线的距离为
1
1

查看答案和解析>>

科目:高中数学 来源: 题型:

(2012•昌平区二模)已知双曲线的方程为
x2
4
-y2=1
,则其渐近线的方程为
y=±
1
2
x
y=±
1
2
x
,若抛物线y2=2px的焦点与双曲线的右焦点重合,则p=
2
5
2
5

查看答案和解析>>

同步练习册答案