精英家教网 > 高中数学 > 题目详情
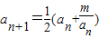
数列{an}中an>0,且由下列条件确定:
(1)证明:对n≥2,总有
(2)证明:对n≥2,总有an≥an+1
【答案】分析:(1)由an+1的表达形式,结合基本不等式知识,可证.
(2)比较大小,常用作差比较,作商比较(项为正时)
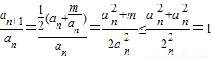
解答:解:(1)证明:由a1=m>0,及,an>0
从而有.(4分)
所以,当n≥2,总有an成立.
(2)证法一:当
所以,(10分)
故当n≥2时,an≥an+1成立.
证法二:当
所以
故当n≥2时,an≥an+1成立..(12分)
点评:本题借助于数列的形式,实际上主要考查了不等式的基础知识与基本方法.
练习册系列答案
相关习题

科目:高中数学 来源: 题型:

(任选一题)
①在数列{an}中,已知a1=1,an+1=
an
1+2an
(n∈N+)

(1)求a2,a3,a4,并由此猜想数列{an}的通项公式an的表达式;
(2)用适当的方法证明你的猜想.
②是否存在常数a、b、c使得等式1•22+2•32+…+n(n+1)2=
n(n+1)
12
(an2+bn+c)
对一切正整数n都成立?
并证明你的结论.

查看答案和解析>>

科目:高中数学 来源: 题型:

数列{an}满足:a1=3,an+1=an2-2an+2(n∈N*)
(1)求数列{an}的通项公式;
(2)求证:数列{an}中的任两项互质.
(3)记bn=
1
an
+
1
an-2
,Sn为数列{bn}的前n项和,求S2009的整数部分.

查看答案和解析>>

科目:高中数学 来源: 题型:

在数列{an}中,已知a1=1,an+1=
an1+2an
(n∈N+)

(1)求a2,a3,a4,并由此猜想数列{an}的通项公式an的表达式;
(2)用适当的方法证明你的猜想.

查看答案和解析>>

科目:高中数学 来源: 题型:

在数列{an}中,如果存在正整数T,使得an+T=an对于任意正整数n均成立,那么就称数列{an}为周期数列,其中T叫做数列{an}的周期.已知数列{xn}满足xn+2=|xn+1-xn|(x∈N*),若x1=1,x2=a(a≤1,a≠0),当数列{xn}的周期为3时,则数列{xn}的前2014项的和S2014为(  )

查看答案和解析>>

科目:高中数学 来源: 题型:填空题

关于数列有下列四个判断:
①若a,b,c,d成等比数列,则a+b,b+c,c+d也成等比数列;
②若数列{an}是等比数列,则Sn,S2n-Sn,S3n-S2n…也成等比数列;
③若数列{an}既是等差数列也是等比数列,则{an}为常数列;
④数列{an}的前n项的和为Sn,且数学公式,则{an}为等差或等比数列;
⑤数列{an}为等差数列,且公差不为零,则数列{an}中不会有am=an(m≠n).
其中正确命题的序号是________.(请将正确命题的序号都填上)

查看答案和解析>>

同步练习册答案