ÈçͼËùʾ£¬ÐéÏßL1¡¢L2Ö®¼äÊǴŸÐӦǿ¶ÈΪB1µÄÔÈÇ¿´Å³¡£¬ÐéÏßL2¡¢L3Ö®¼äÊǴŸÐӦǿ¶ÈΪB2µÄÔÈÇ¿´Å³¡£¬L1¡¢L2¡¢L3¶¼Ë®Æ½£¬L2¡¢L3¸ß¶È²îΪa£®ÖÊÁ¿Îªm¡¢±ß³¤ÎªaµÄÕý·½ÐÎÏß¿ò×Ôijһ¸ß¶ÈÓɾ²Ö¹ÏÂÂ䣬ÒÀ´Î¾­¹ýÁ½ÔÈÇ¿´Å³¡ÇøÓò£®ÒÑÖªL1¡¢L2¼ä¸ß¶ÈΪ2a£¬Ïß¿òÔÚ½øÈëB1µÄ¹ý³ÌÖÐ×öÔÈËÙÔ˶¯£¬ËÙ¶È´óСΪv1£¬ÔÚB1ÖмÓËÙÒ»¶Îʱ¼äºóÓÖÔÈËÙ½øÈëºÍ´©³öB2£¬½øÈëºÍ´©³öB2ʱµÄËٶȺãΪv2£¬Çó£º
£¨1£©B1£ºB2£»            
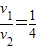
£¨2£©v1£ºv2£»
£¨3£©ÔÚÕû¸öÏÂÂä¹ý³ÌÖÐÏß¿òÖвúÉúµÄ½¹¶úÈÈ£®

¡¾´ð°¸¡¿·ÖÎö£ºÏß¿òÔÚ½øÈëB1µÄ¹ý³ÌÖÐÔÈËÙÔ˶¯£¬¼´Ïß¿òËùÊÜÖØÁ¦ºÍÏß¿òËùÊܵݲÅàÁ¦Æ½ºâ£¬µ±Ïß¿ò¸Õ½øÈëB2µÄ¹ý³ÌÖУ¬Ïß¿òËùÊܵÄÖØÁ¦ºÍ°²ÅàÅàÁ¦ÈÔ¾ÉÆ½ºâ£¬×¢Òâ´ËʱÏß¿òËùÊܵݲÅàÁ¦ÓÐÁ½¸ö£¬B1´Å³¡ºÍB2´Å³¡µÄ×÷ÓÃÁ¦£¬Á½¸öÁ¦µÄºÏÁ¦ÓëÖØÁ¦Æ½ºâ£»µ±Ïß¿òÀ뿪´Å³¡B2µÄ¹ý³ÌÖУ¬Í¬ÑùÊǰ²ÅàÁ¦ºÍÖØÁ¦Æ½ºâ£¬¾ÝÈýÖÖÇé¿öÏÂµÄÆ½ºâ·½³Ì£¬¿ÉÒÔÇó³öÏàÓ¦´Å¸ÐӦǿ¶ÈºÍËٶȵıÈÖµ£»Õû¸ö¹ý³ÌÖÐÖØÁ¦×ö¹¦ÖØÁ¦ÊÆÄܼõС£¬Ïß¿òµÄ¶¯ÄÜÔö¼Ó£¬ÏßȦÖвúÉú½¹¶úÈÈ£¬¸ù¾ÝÄÜÁ¿Êغã¿ÉÒÔÖªµÀÖØÁ¦ÊÆÄܵļõÉÙÁ¿µÈÓÚÏß¿ò¶¯ÄܵÄÔöÁ¿ºÍ²úÉú½¹¶úÈÈÖ®ºÍ£®
½â´ð£º½â£º£¨1£©ÒòΪÏß¿ò½øÈë´Å³¡B1ʱ×öËÙ¶ÈΪv1µÄÔÈËÙÔ˶¯£¬Ïß¿òËùÊܰ²ÅàÁ¦ÓëÖØÁ¦Æ½ºâ£¬¹ÌÓУº
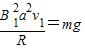
B1Ia=mg
ÓÖÒòΪI=
¼´          ¢Ù
µ±Ïß¿ò´ÓB1½øÈëB2µÄ¹ý³ÌÖÐ×öËÙ¶ÈΪv2µÄÔÈËÙÔ˶¯£¬ÓУº
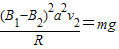
£¨B1-B2£©I2a=mg
ÓÖÒòΪ
¼´        ¢Ú
µ±Ïß¿ò³ö´Å³¡B2µÄ¹ý³ÌÖУ¬Ïß¿òÊÜÁ¦Æ½ºâ£¬ÓУº
B2I3v2=mg
´ËʱµçÁ÷
¼´         ¢Û
Óɢ٢ڢ۵ãº


£¨2£©¸ù¾ÝÄÜÁ¿Êغã¿ÉÖª£º¼õÉÙµÄÖØÁ¦ÊÆÄܵÈÓÚÏß¿òÔö¼ÓµÄ¶¯ÄܺÍÏßȦÖвúÉúµÄÈÈÁ¿Ö®ºÍ¼´£º
mg4a=Q+£¨£©     ¢Ü
ÓÖÒòΪÏß¿ò¼ÓËٵĹý³ÌÊÇÔÚÏß¿òÍêÈ«½øÈëB1µ½Ïß¿ò¸Õ¿ªÈëB2µÄÕâÒ»¹ý³ÌÖУ¬¸ù¾ÝÌâÒ⣬ÔÚÕâÒ»¹ý³ÌÖÐÖ»ÓÐÖØÁ¦¶ÔÏß¿ò×ö¹¦£¬¹ÊÓУº
mga=        ¢Ý
Óɢܺ͢ÝÖª£¬ÏßȦÖвúÉúµÄ½¹¶úÈÈQ=3mga
´ð£º£¨1£©B1£ºB2=2£º1
£¨2£©v1£ºv2=1£º4
£¨3£©ÔÚÕû¸öÏÂÂä¹ý³ÌÖÐÏß¿òÖвúÉúµÄ½¹¶úÈÈQ=3mga£®
µãÆÀ£º×¥×¡Èý¸ö¹ý³ÌÖÐÏß¿ò¾ù´¦ÓÚÆ½ºâ״̬£¬¸ù¾ÝƽºâÁÐʽ£¬ÄÜÕýÈ·±íʾ³ö°²ÅàÁ¦µÄ´óС£®ÔÚÕû¸ö¹ý³ÌÖÐ×ñÊØÄÜÁ¿Êغ㣮
Á·Ï°²áϵÁдð°¸
Ïà¹ØÏ°Ìâ

¿ÆÄ¿£º¸ßÖÐÎïÀí À´Ô´£º ÌâÐÍ£º

ÈçͼËùʾ£¬ÐéÏßL1¡¢L2Ö®¼äÊǴŸÐӦǿ¶ÈΪB1µÄÔÈÇ¿´Å³¡£¬ÐéÏßL2¡¢L3Ö®¼äÊǴŸÐӦǿ¶ÈΪB2µÄÔÈÇ¿´Å³¡£¬L1¡¢L2¡¢L3¶¼Ë®Æ½£¬L2¡¢L3¸ß¶È²îΪa£®ÖÊÁ¿Îªm¡¢±ß³¤ÎªaµÄÕý·½ÐÎÏß¿ò×Ôijһ¸ß¶ÈÓɾ²Ö¹ÏÂÂ䣬ÒÀ´Î¾­¹ýÁ½ÔÈÇ¿´Å³¡ÇøÓò£®ÒÑÖªL1¡¢L2¼ä¸ß¶ÈΪ2a£¬Ïß¿òÔÚ½øÈëB1µÄ¹ý³ÌÖÐ×öÔÈËÙÔ˶¯£¬ËÙ¶È´óСΪv1£¬ÔÚB1ÖмÓËÙÒ»¶Îʱ¼äºóÓÖÔÈËÙ½øÈëºÍ´©³öB2£¬½øÈëºÍ´©³öB2ʱµÄËٶȺãΪv2£¬Çó£º
£¨1£©B1£ºB2£»            
£¨2£©v1£ºv2£»
£¨3£©ÔÚÕû¸öÏÂÂä¹ý³ÌÖÐÏß¿òÖвúÉúµÄ½¹¶úÈÈ£®

²é¿´´ð°¸ºÍ½âÎö>>

¿ÆÄ¿£º¸ßÖÐÎïÀí À´Ô´£º ÌâÐÍ£º

ÈçͼËùʾ,ˮƽÐéÏßL1¡¢L2Ö®¼äÊÇÔÈÇ¿´Å³¡,´Å³¡·½ÏòˮƽÏòÀ´Å³¡¸ß¶ÈΪh¡£ÊúÖ±Æ½ÃæÄÚÓÐÒ»µÈÑüÌÝÐÎÏß¿ò£¬µ×±ßˮƽ£¬ÆäÉÏϱ߳¤Ö®±ÈΪ5:1£¬¸ßΪ2h¡£ÏÖʹÏß¿òAB±ßÔڴų¡±ß½çL1µÄÉÏ·½h¸ß´¦Óɾ²Ö¹×ÔÓÉÏÂÂ䣬µ±AB±ß¸Õ½øÈë´Å³¡Ê±¼ÓËÙ¶ÈÇ¡ºÃΪ0£¬ÔÚDC±ß¸Õ½øÈë´Å³¡Ç°µÄÒ»¶Îʱ¼äÄÚ£¬Ïß¿ò×öÔÈËÙÔ˶¯¡£Çó:

£¨1£©DC±ß¸Õ½øÈë´Å³¡Ê±£¬Ïß¿òµÄ¼ÓËÙ¶È

£¨2£©´ÓÏß¿ò¿ªÊ¼ÏÂÂäµ½DC±ß¸Õ½øÈë´Å³¡µÄ¹ý³ÌÖУ¬Ïß¿òµÄ»úеÄÜËðʧºÍÖØÁ¦×ö¹¦Ö®±È[À´Ô´:ѧ#¿Æ#ÍøZ#X#X#K]

²é¿´´ð°¸ºÍ½âÎö>>

¿ÆÄ¿£º¸ßÖÐÎïÀí À´Ô´£º²»Ïê ÌâÐÍ£ºÎÊ´ðÌâ

ÈçͼËùʾ£¬ÐéÏßL1¡¢L2Ö®¼äÊǴŸÐӦǿ¶ÈΪB1µÄÔÈÇ¿´Å³¡£¬ÐéÏßL2¡¢L3Ö®¼äÊǴŸÐӦǿ¶ÈΪB2µÄÔÈÇ¿´Å³¡£¬L1¡¢L2¡¢L3¶¼Ë®Æ½£¬L2¡¢L3¸ß¶È²îΪa£®ÖÊÁ¿Îªm¡¢±ß³¤ÎªaµÄÕý·½ÐÎÏß¿ò×Ôijһ¸ß¶ÈÓɾ²Ö¹ÏÂÂ䣬ÒÀ´Î¾­¹ýÁ½ÔÈÇ¿´Å³¡ÇøÓò£®ÒÑÖªL1¡¢L2¼ä¸ß¶ÈΪ2a£¬Ïß¿òÔÚ½øÈëB1µÄ¹ý³ÌÖÐ×öÔÈËÙÔ˶¯£¬ËÙ¶È´óСΪv1£¬ÔÚB1ÖмÓËÙÒ»¶Îʱ¼äºóÓÖÔÈËÙ½øÈëºÍ´©³öB2£¬½øÈëºÍ´©³öB2ʱµÄËٶȺãΪv2£¬Çó£º
£¨1£©B1£ºB2£»            
£¨2£©v1£ºv2£»
£¨3£©ÔÚÕû¸öÏÂÂä¹ý³ÌÖÐÏß¿òÖвúÉúµÄ½¹¶úÈÈ£®
¾«Ó¢¼Ò½ÌÍø

²é¿´´ð°¸ºÍ½âÎö>>

¿ÆÄ¿£º¸ßÖÐÎïÀí À´Ô´£º ÌâÐÍ£º

ÈçͼËùʾ,ˮƽÐéÏßL1¡¢L2Ö®¼äÊÇÔÈÇ¿´Å³¡,´Å³¡·½ÏòˮƽÏòÀ´Å³¡¸ß¶ÈΪh¡£ÊúÖ±Æ½ÃæÄÚÓÐÒ»µÈÑüÌÝÐÎÏß¿ò£¬µ×±ßˮƽ£¬ÆäÉÏϱ߳¤Ö®±ÈΪ5:1£¬¸ßΪ2h¡£ÏÖʹÏß¿òAB±ßÔڴų¡±ß½çL1µÄÉÏ·½h¸ß´¦Óɾ²Ö¹×ÔÓÉÏÂÂ䣬µ±AB±ß¸Õ½øÈë´Å³¡Ê±¼ÓËÙ¶ÈÇ¡ºÃΪ0£¬ÔÚDC±ß¸Õ½øÈë´Å³¡Ç°µÄÒ»¶Îʱ¼äÄÚ£¬Ïß¿ò×öÔÈËÙÔ˶¯¡£Çó:
£¨1£©DC±ß¸Õ½øÈë´Å³¡Ê±£¬Ïß¿òµÄ¼ÓËÙ¶È
£¨2£©´ÓÏß¿ò¿ªÊ¼ÏÂÂäµ½DC±ß¸Õ½øÈë´Å³¡µÄ¹ý³ÌÖУ¬Ïß¿òµÄ»úеÄÜËðʧºÍÖØÁ¦×ö¹¦Ö®±È

 
 
 

²é¿´´ð°¸ºÍ½âÎö>>

¿ÆÄ¿£º¸ßÖÐÎïÀí À´Ô´£º ÌâÐÍ£º

ÈçͼËùʾ,ˮƽÐéÏßL1¡¢L2Ö®¼äÊÇÔÈÇ¿´Å³¡,´Å³¡·½ÏòˮƽÏòÀ´Å³¡¸ß¶ÈΪh¡£ÊúÖ±Æ½ÃæÄÚÓÐÒ»µÈÑüÌÝÐÎÏß¿ò£¬µ×±ßˮƽ£¬ÆäÉÏϱ߳¤Ö®±ÈΪ5¡Ã1£¬¸ßΪ2h¡£ÏÖʹÏß¿òAB±ßÔڴų¡±ß½çL1µÄÉÏ·½h¸ß´¦Óɾ²Ö¹×ÔÓÉÏÂÂ䣬µ±AB±ß¸Õ½øÈë´Å³¡Ê±¼ÓËÙ¶ÈÇ¡ºÃΪ0£¬ÔÚDC±ß¸Õ½øÈë´Å³¡Ç°µÄÒ»¶Îʱ¼äÄÚ£¬Ïß¿ò×öÔÈËÙÔ˶¯¡£Çó£º

£¨1£©DC±ß¸Õ½øÈë´Å³¡Ê±£¬Ïß¿òµÄ¼ÓËÙ¶È£»

£¨2£©´ÓÏß¿ò¿ªÊ¼ÏÂÂäµ½DC±ß¸Õ½øÈë´Å³¡µÄ¹ý³ÌÖУ¬Ïß¿òµÄ»úеÄÜËðʧºÍÖØÁ¦×ö¹¦Ö®±È¡£

²é¿´´ð°¸ºÍ½âÎö>>

ͬ²½Á·Ï°²á´ð°¸