精英家教网 > 高中物理 > 题目详情
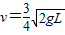
如图所示,在同一竖直面上,质量为2m的小球A静止在光滑斜面的底部,斜面高度为H=2L.小球受到弹簧的弹性力作用后,沿斜面向上运动.离开斜面后,达到最高点时与静止悬挂在此处的小球B发生弹性碰撞,碰撞后球B刚好能摆到与悬点O同一高度,球A沿水平方向抛射落在水平面C上的P点,O点的投影O′与P的距离为L/2.已知球B质量为m,悬绳长L,视两球为质点,重力加速度为g,不计空气阻力,求:
(1)球B在两球碰撞后一瞬间的速度大小;
(2)球A在两球碰撞前一瞬间的速度大小;
(3)弹簧的弹性力对球A所做的功.
【答案】分析:两球碰撞过程满足动量守恒定律,B球上升过程满足机械能守恒定律或动能定理,A球碰撞后做平抛运动,A球从弹起到与B球碰撞可用动能定理.
解答:解:(1)碰撞后,根据机械能守恒定律,对B球有:
解得:
即球B在两球碰撞后一瞬间的速度大小为
(2)A、B球碰撞水平方向动量守恒有:2m=2m+

解得:   
即球A在两球碰撞前一瞬间的速度大小为
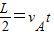
(3)碰后A球做平抛运动,设平抛高度为y,有:   y=g
解得:y=L
对A球应用动能定理得:
解得:
即弹簧的弹性力对球A所做的功为
点评:解物理题的关键是正确分析物理过程,再根据不同过程选用相应的规律求解.
练习册系列答案
相关习题

科目:高中物理 来源: 题型:

质量4㎏的物体放在水平地面上,在一大小30N的水平外力作用下,恰能沿水平方向做匀速运动.求:
(1)物体与水平面间摩擦系数?
(2)若如图所示,在同一竖直平面内再对物体施加一个大小与水平力相等的推力,要使物体仍做匀速直线运动,此推力与水平面夹角多大?
(3)若单独对物体施加一个拉力使之沿水平方向做匀速运动,此拉力最小多大?

查看答案和解析>>

科目:高中物理 来源: 题型:

(2007?广东)如图所示,在同一竖直面上,质量为2m的小球A静止在光滑斜面的底部,斜面高度为H=2L.小球受到弹簧的弹性力作用后,沿斜面向上运动.离开斜面后,达到最高点时与静止悬挂在此处的小球B发生弹性碰撞,碰撞后球B刚好能摆到与悬点O同一高度,球A沿水平方向抛射落在水平面C上的P点,O点的投影O′与P的距离为L/2.已知球B质量为m,悬绳长L,视两球为质点,重力加速度为g,不计空气阻力,求:
(1)球B在两球碰撞后一瞬间的速度大小;
(2)球A在两球碰撞前一瞬间的速度大小;
(3)弹簧的弹性力对球A所做的功.

查看答案和解析>>

科目:高中物理 来源: 题型:

如图所示,在同一竖直平面内两正对着的半径为R的相同半圆光滑轨道,相隔一定的距离x,虚线沿竖直方向,一质量为m的小球能在其间运动.今在最低点B与最高点A各放一个压力传感器,测试小球对轨道的压力,并通过计算机显示出来.(不计空气阻力,g取10m/s2
(1)要使小球不脱离轨道,求小球在A点速度;
(2)求A、B两点的压力差△FN与x的函数关系;(用m、R、g表示)
(3)若测得两点压力差△FN与距离x的图象如右图所示.根据图象,求小球的质量.

查看答案和解析>>

科目:高中物理 来源: 题型:

精英家教网如图所示,在同一竖直平面上,质量为2m的小球A静止在光滑斜面的底部,斜面高度为H=2L,小球受到弹簧的弹性力作用后,沿斜面向上运动.离开斜面后,达到最高点时与静止悬挂在此处的小球B发生碰撞,碰撞中无机械能损失,碰撞后球B刚好能摆到与悬点O同一高度,球A沿水平方向抛射落在水平面C上的P点,O点的投影O'与P点的距离为L/2.已知球B质量为m,悬绳长L,视两球为质点,重力加速度为g,不计空气阻力,求:
(1)球B在两球碰撞后一瞬间的速度大小;
(2)弹簧的最大弹性势能.

查看答案和解析>>

科目:高中物理 来源: 题型:

精英家教网如图所示,在同一竖直平面内有两个正对着的半圆形光滑轨道,轨道的半径都是R.轨道端点所在的水平线相隔一定的距离x.一质量为m的小球能在其间运动而不脱离轨道,经过最低点B时的速度为v.小球在最低点B与最高点A对轨道的压力之差为△F(△F>0),不计空气阻力.则(  )
A、m、x一定时,R越大,△F一定越大B、m、R一定时,x越大,△F一定越大C、m、x一定时,v越大,△F一定越大D、m、R一定时,v越大,△F一定越大

查看答案和解析>>

同步练习册答案