精英家教网 > 高中物理 > 题目详情
如图所示,物体A的质量m=1kg,静止在光滑水平面上的平板车B的质量为M=0.5kg、长L=1m。某时刻A以向右的初速度v0滑上木板B的上表面,忽略物体A的大小,已知A与B之间的动摩擦因数μ=0.2,取重力加速度g=10m/s2。试求:
(1)现使B固定在地面上,令A在B上运动的末速度为v,试确定函数v(v0)的解析式,并大致画出v-v0图线。
(2)若v0=4m/s,且B可在地面自由滑动,在A滑上B的同时,给B施加一个水平向右的恒定拉力F。
①假设F=5N,求物体A从开始运动到距离小车左端最远处所需时间;
②若要使A不至于从B上滑落,拉力F大小应满足什么条件?
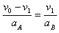
解:(1)由运动学公式,得
因此有
大致如图(2m/s以外部分为双曲线的一部分)
(2)①对A有 ①
得:aA=μg=2m/s2
木板B作加速运动,有F+μmg=MaB
得:aB=14m/s2
两者速度相同时,有v0-aAt=aBt,得:t=0.25s
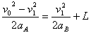
②物体A不从B右端滑落的临界条件是A到达B的右端时,A、B具有共同的速度v1,则:

又:
联立以上两式,可得:aB=6m/s2
再代入②式得:
当F较大时,在A到达B的右端之前,就与B具有相同的速度,之后,A必须相对B静止,才不会从B的左端滑落。即有:
所以F=3N
综上:力F应满足的条件是1N≤F≤3N
练习册系列答案
相关习题

科目:高中物理 来源: 题型:

(2013?福州模拟)如图所示,物体A的质量是物体B的质量的2倍,中间压缩一轻质弹簧,放在光滑的水平面上,由静止同时放开两手后一小段时间内?(  )

查看答案和解析>>

科目:高中物理 来源:2012-2013学年福建省福州市高三5月质检物理试卷(解析版) 题型:填空题

如图所示,物体A的质量是物体B的质量的2倍,中间压缩一轻质弹簧,放在光滑的 水平面上,由静止同时放开两手后一小段时间内? _______。(填选项前的字母)

A.A的速率始终等于B的速率

B.A的动量大小大于B的动量大小

C.A受的合力大小大于B受的合力大小

D.A的动量不等于B的动量

 

查看答案和解析>>

科目:高中物理 来源: 题型:

如图所示,物体A的质量为M,圆环B的质律为m,通过轻绳连结在一起,跨过光 滑的定滑轮,圆环套在光滑的竖直杆上,设杆足够长。开始时连接圆环的绳处于水 平,长度为l,现从静止释放圆环.不计定滑轮和空气的阻力,以下说法正确的是

A. 当M=2m时,l越大,则小环m下降的最大高度/7越大

B. 当M=2w时,l越大,则小环m下降的最大高度/2越小

C. 当M=m时,且l确定,则小环下降过程中速度先增大后减小到零

D. 当M=m时,且l确定,则小环m下降过程中速度一直增大

 

 

 

 

 

 

查看答案和解析>>

科目:高中物理 来源: 题型:

如图所示,物体A的质量为M,圆环B的质律为m,通过轻绳连结在一起,跨过光 滑的定滑轮,圆环套在光滑的竖直杆上,设杆足够长。开始时连接圆环的绳处于水 平,长度为l,现从静止释放圆环.不计定滑轮和空气的阻力,以下说法正确的是

A. 当M=2m时,l越大,则小环m下降的最大高度/7越大

B. 当M=2w时,l越大,则小环m下降的最大高度/2越小

C. 当M=m时,且l确定,则小环下降过程中速度先增大后减小到零

D. 当M=m时,且l确定,则小环m下降过程中速度一直增大

 

 

 

 

 

 

查看答案和解析>>

科目:高中物理 来源: 题型:

(2013东北四市联考)如图所示,物体A的质量为M,圆环B的质律为m,通过轻绳连结在一起,跨过光滑的定滑轮,圆环套在光滑的竖直杆上,设杆足够长。开始时连接圆环的绳处于水平,长度为l,现从静止释放圆环.不计定滑轮和空气的阻力,以下说法正确的是

A.    当M=2m时,l越大,则小环m下降的最大高度h越大

B.    当M=2m时,l越大,则小环m下降的最大高度h越小

C.    当M=m时,且l确定,则小环下降过程中速度先增大后减小到零

D.    当M=m时,且l确定,则小环m下降过程中速度一直增大

 

 

 

 

查看答案和解析>>

同步练习册答案