精英家教网 > 高中物理 > 题目详情
如图,半径为R的光滑圆形轨道固定在竖直面内。小球A、B质量分别为m、βm(β为待定系数)。A球从左边与圆心等高处由静止开始沿轨道下滑,与静止于轨道最低点的B球相撞,碰撞后A、B球能达到的最大高度均为,碰撞中无机械能损失。重力加速度为g。试求:
(1)待定系数β;
(2)第一次碰撞刚结束时小球A、B各自的速度和B球对轨道的压力;
(3)小球A、B在轨道最低处第二次碰撞刚结束时各自的速度,并讨论小球A、B在轨道最低处第n次碰撞刚结束时各自的速度。

解:(1)由,得
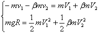
(2)设A、B碰撞后的速度分别为v1、v2,则

设向右为正、向左为负,解得
,方向向左
,方向向右
设轨道对B球的支持力为N,B球对轨道的压力为N′,方向竖直向上为正、向下为负

N′=-N=-4.5mg,方向竖直向下
(3)设A、B球第二次碰撞刚结束时的速度分别为V1、V2,则

解得(另一组解V1=-v1,V2=-v2不合题意,舍去)
由此可得:当n为奇数时,小球A、B在第n次碰撞刚结束时的速度分别与其第一次碰撞刚结束时相同;
当n为偶数时,小球A、B在第n次碰撞刚结束时的速度分别与其第二次碰撞刚结束时相同
练习册系列答案
相关习题

科目:高中物理 来源: 题型:

如图,半径为R的光滑半球放在水平地面上,用跨过光滑小滑轮的细绳系一小球,小球质量为m,将小球搁在球面上,在拉力作用下,小球缓慢上升至半球体的顶点,在此过程中,小球对半球体的压力N和对细绳的拉力T的变化情况是(  )

查看答案和解析>>

科目:高中物理 来源: 题型:

如图,半径为R的光滑圆形轨道安置在一竖直平面上,左侧连接一个光滑的弧形轨道,右侧连接动摩擦因数为μ的水平轨道CD.一小球自弧形轨道上端的A处由静止释放,通过圆轨道后,再滑上CD轨道.若在圆轨道最高点B处对轨道的压力恰好为零,到达D点时的速度为
3gR
.求:
(1)小球经过B点时速度的大小.
(2)小球释放时的高度h.
(3)水平轨道CD段的长度l.

查看答案和解析>>

科目:高中物理 来源: 题型:

如图,半径为R的光滑圆形轨道固定在竖直面内.小球A、B质量分别为m、3m.A球从左边某高处由静止释放,并与静止于轨道最低点的B球相撞,碰撞后A球被反向弹回,且A、B球能达到的最大高度均为
14
R.重力加速度为g.试求:
(1)碰撞刚结束时小球A、B各自的速度大小和B球对轨道的压力大小;
(2)碰前A球的释放点多高?
(3)通过计算说明,碰撞过程中,A、B球组成的系统有无机械能损失?若有损失,求出损失了多少?

查看答案和解析>>

科目:高中物理 来源: 题型:

(2013?宿迁一模)如图,半径为R的光滑半圆形轨道ABC在竖直平面内,与水平轨道CD相切于C 点,D端有一被锁定的轻质压缩弹簧,弹簧左端连接在固定的挡板上,弹簧右端Q到C点的距离为2R.质量为m可视为质点的滑块从轨道上的P点由静止滑下,刚好能运动到Q点,并能触发弹簧解除锁定,然后滑块被弹回,且刚好能通过圆轨道的最高点A.已知∠POC=60°,求:
(1)滑块第一次滑至圆形轨道最低点C时对轨道压力;
(2)滑块与水平轨道间的动摩擦因数μ;
(3)弹簧被锁定时具有的弹性势能.

查看答案和解析>>

科目:高中物理 来源: 题型:

(2009?汕头一模)如图,半径为R的光滑半圆面固定在竖直面内,其直径AB处于竖直方向上.一质量为m的小球以初速度v0从最低点A水平射入轨道并运动到最高点B处.则(  )

查看答案和解析>>

同步练习册答案