精英家教网 > 高中物理 > 题目详情

如图所示,在同一竖直平面内有A、B两物体,A物体从a点起,以角速度ω沿顺时针方向做半径为只的匀速圆周运动,同时月物体从圆心O点自由下落,若要A、B两物体在d点相遇,求角速度ω须满足的条件.

答案:略
解析:

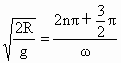
ω应满足的是(n=0123,……)

解:B物体从圆心Od点的运动是自由落体运动,因此B物体从Od所用的时间t应为:,∴

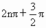
由于A物体所做的是匀速圆周运动,A物体a运动到d转过的角度为:(n=0123,……).因此其所用时间为:

联立上述方程可得:

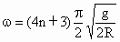
解得:(n=0123,……)

匀速圆周运动具有周期性,因此在解决有关的圆周运动的问题中必须考虑题目多解的可能性,并尽可能运用数学知识写出解的通项表达式.

A物体从a点运动到b点通过的角度可能为:……所以它通过的角度为:(n=0123,……)本题的创新之处在于物理学中数例通项公式的运用,即物理解题方法上的创意.


练习册系列答案
相关习题

科目:高中物理 来源: 题型:

质量4㎏的物体放在水平地面上,在一大小30N的水平外力作用下,恰能沿水平方向做匀速运动.求:
(1)物体与水平面间摩擦系数?
(2)若如图所示,在同一竖直平面内再对物体施加一个大小与水平力相等的推力,要使物体仍做匀速直线运动,此推力与水平面夹角多大?
(3)若单独对物体施加一个拉力使之沿水平方向做匀速运动,此拉力最小多大?

查看答案和解析>>

科目:高中物理 来源: 题型:

(2007?广东)如图所示,在同一竖直面上,质量为2m的小球A静止在光滑斜面的底部,斜面高度为H=2L.小球受到弹簧的弹性力作用后,沿斜面向上运动.离开斜面后,达到最高点时与静止悬挂在此处的小球B发生弹性碰撞,碰撞后球B刚好能摆到与悬点O同一高度,球A沿水平方向抛射落在水平面C上的P点,O点的投影O′与P的距离为L/2.已知球B质量为m,悬绳长L,视两球为质点,重力加速度为g,不计空气阻力,求:
(1)球B在两球碰撞后一瞬间的速度大小;
(2)球A在两球碰撞前一瞬间的速度大小;
(3)弹簧的弹性力对球A所做的功.

查看答案和解析>>

科目:高中物理 来源: 题型:

如图所示,在同一竖直平面内两正对着的半径为R的相同半圆光滑轨道,相隔一定的距离x,虚线沿竖直方向,一质量为m的小球能在其间运动.今在最低点B与最高点A各放一个压力传感器,测试小球对轨道的压力,并通过计算机显示出来.(不计空气阻力,g取10m/s2
(1)要使小球不脱离轨道,求小球在A点速度;
(2)求A、B两点的压力差△FN与x的函数关系;(用m、R、g表示)
(3)若测得两点压力差△FN与距离x的图象如右图所示.根据图象,求小球的质量.

查看答案和解析>>

科目:高中物理 来源: 题型:

精英家教网如图所示,在同一竖直平面上,质量为2m的小球A静止在光滑斜面的底部,斜面高度为H=2L,小球受到弹簧的弹性力作用后,沿斜面向上运动.离开斜面后,达到最高点时与静止悬挂在此处的小球B发生碰撞,碰撞中无机械能损失,碰撞后球B刚好能摆到与悬点O同一高度,球A沿水平方向抛射落在水平面C上的P点,O点的投影O'与P点的距离为L/2.已知球B质量为m,悬绳长L,视两球为质点,重力加速度为g,不计空气阻力,求:
(1)球B在两球碰撞后一瞬间的速度大小;
(2)弹簧的最大弹性势能.

查看答案和解析>>

科目:高中物理 来源: 题型:

精英家教网如图所示,在同一竖直平面内有两个正对着的半圆形光滑轨道,轨道的半径都是R.轨道端点所在的水平线相隔一定的距离x.一质量为m的小球能在其间运动而不脱离轨道,经过最低点B时的速度为v.小球在最低点B与最高点A对轨道的压力之差为△F(△F>0),不计空气阻力.则(  )
A、m、x一定时,R越大,△F一定越大B、m、R一定时,x越大,△F一定越大C、m、x一定时,v越大,△F一定越大D、m、R一定时,v越大,△F一定越大

查看答案和解析>>

同步练习册答案