精英家教网 > 高中物理 > 题目详情
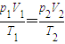
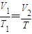
如图所示,1、2、3为p-V图中一定量理想气体的三个状态,该理想气体由状态1经过程1-3-2到达状态2.试利用气体实验定律证明:

【答案】分析:从p-V图中找到某一过程中发生的是什么变化.
能够运用控制变量法研究多个物理量变化时的关系.
解答:证明:设状态3的温度为T,
 状态1-3为等压过程,  ①
状态3-2为等容过程,   ②
由①②两式消去T,即得  
点评:要注意研究过程中哪些量不变,哪些量变化.再根据气体实验定律找出变量之间的关系.
练习册系列答案
相关习题

科目:高中物理 来源: 题型:

(2010?闵行区三模)如图所示,1、2、3…10各点之间的距离均是1m.当t=0时,点1开始向上振动,t=0.1s时点1第一次到达平衡位置上方最大位移处,而振动向右传播至点3,则以下结论正确的是
(  )

查看答案和解析>>

科目:高中物理 来源: 题型:

(2010?云南模拟)如图所示,1、2、3、4为玻尔理论中氢原子最低的四个能级.用以下能量的光子照射基态的氢原子时,能使氢原子跃迁到激发态的是(  )

查看答案和解析>>

科目:高中物理 来源: 题型:

如图所示,1、2、3、4为波尔理论中氢原子最低的四个能级,当处于n=4能量状态的氢原子向较低能级跃迁时,发出的光子的能量有:(  )
①13.6eV    ②12.09eV     ③10.2eV     ④3.4eV.

查看答案和解析>>

科目:高中物理 来源: 题型:

精英家教网如图所示,1、2、3为p-V图中一定量理想气体的三个状态,该理想气体由状态1经过程1-3-2到达状态2.试利用气体实验定律证明:
p1V1
T1
=
p2V2
T2

查看答案和解析>>

科目:高中物理 来源: 题型:

精英家教网在某种粒子散射的实验中,有一粒子在金原子核的静电场中被散射的运动轨道如图所示.1、2、3、4为相邻的等势面,两个相邻的等势面的电势差均相等,其中2的电势设为0,粒子经过K、L点时的动能分别为26eV和5eV,则下列判断中正确的是(  )
A、粒子从K到L的过程中,电场力做正功B、粒子从K到M的过程中,电场力做正功C、粒子动能为10eV时,电势能为4eVD、粒子动能为6eV时,电势能为6eV

查看答案和解析>>

同步练习册答案