1.函数 (1)若函数在时取到极值.求实数得值, (2)求函数在闭区间上的最大值. 查看更多

 

题目列表(包括答案和解析)

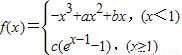
已知函数数学公式数学公式处取到极值
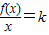
(Ⅰ)当c=e时,方程数学公式恰有三个实根,求实数k的取值范围;
(Ⅱ)若函数y=f(x)的图象上存在两点A,B使得数学公式(O为坐标原点),且线段AB的中点在y轴上,求实数c的取值范围.

查看答案和解析>>

已知函数处取到极值
(Ⅰ)当c=e时,方程恰有三个实根,求实数k的取值范围;
(Ⅱ)若函数y=f(x)的图象上存在两点A,B使得(O为坐标原点),且线段AB的中点在y轴上,求实数c的取值范围.

查看答案和解析>>

函数

(1)若函数时取到极值,求实数得值;

(2)求函数在闭区间上的最大值.

查看答案和解析>>

设函数

(1)当时,求曲线处的切线方程;

(2)当时,求的极大值和极小值;

(3)若函数在区间上是增函数,求实数的取值范围.

【解析】(1)中,先利用,表示出点的斜率值这样可以得到切线方程。(2)中,当,再令,利用导数的正负确定单调性,进而得到极值。(3)中,利用函数在给定区间递增,说明了在区间导数恒大于等于零,分离参数求解范围的思想。

解:(1)当……2分

   

为所求切线方程。………………4分

(2)当

………………6分

递减,在(3,+)递增

的极大值为…………8分

(3)

①若上单调递增。∴满足要求。…10分

②若

恒成立,

恒成立,即a>0……………11分

时,不合题意。综上所述,实数的取值范围是

 

查看答案和解析>>

已知函数f(x)=x2+ax+b-2ln(x+1)在x=0处取到极小值1.
(Ⅰ)求实数a、b的值及函数f(x)的单调区间;
(Ⅱ)若当x∈[-
12
,e-1]
时,不等式f(x)<m恒成立,求实数m的取值范围.

查看答案和解析>>


同步练习册答案