题目列表(包括答案和解析)

 0  120754  120762  120768  120772  120778  120780  120784  120790  120792  120798  120804  120808  120810  120814  120820  120822  120828  120832  120834  120838  120840  120844  120846  120848  120849  120850  120852  120853  120854  120856  120858  120862  120864  120868  120870  120874  120880  120882  120888  120892  120894  120898  120904  120910  120912  120918  120922  120924  120930  120934  120940  120948  447348 

30.(12分)

Ⅰ.(6分)(每空1分)(1)光合作用 化能合成作用

叶绿体 (2)ATP(三磷酸腺苷) 呼吸作用 (3)自养型

Ⅱ.(6分)

转化实验所用试
剂及操作
反应的化学方程式
检验反应已完全
的试剂及现象
向该试管中加入稀
硫酸并加热一段时

(C6H10O5)n+nH2O


 
[]nC6H12O6

碘水
溶液不变蓝色

试题详情

29.(17分)

解:(1)如图所示(4分)

(2)由几何关系求出粒子在磁场中做匀速圆周运动的半径

r2=202+(40-r)2                              (3分)

又因qvB=mv2/r                             (1分)

Ek=mv2                               (1分)

联立以上各式并代入数据得

B==8.0×10-2 T                         (2分)

(3)由图可知 sinθ=15/25=3/5

θ=37°(用反三角函数表示也可)(2分)

粒子在磁场中做匀速圆周运动,到P点时转动的圆心角为

φ=θ+90°=127°                           (1分)

粒子从O点运动到P点所用时间为(粒子运动周期T=)

t=T=× (2分)

代入数据求出 t=5.54×10-7 s(1分)

(用反三角函数形式表达正确的也同样给分)

试题详情

28.(17分)解:

(1)πρηL2v3                            (8分)

(2)由(1)的结果可知

该风力发电机将风的动能转化为电能的效率

η=                               (5分)

=                         (2分)

=18%(2分)

试题详情

5.(1)(2分)4

(2)(每空2分)

①缺少洗涤烧杯和玻璃棒的操作

②量筒的规格错,应该用10 mL的量筒量取浓硫酸(或回答“用移液管、滴定管量取浓硫酸”)

③不应该在量筒中稀释浓硫酸,应该用烧杯

④不应该用容量瓶保存溶液,应该用细口瓶

(3)(2分)量筒的精确度不够高(或读数误差、溶质仍有少量残留在烧杯内、室温未必是20℃等)

(4)(2分)充分搅拌(冷水浴冷却盛有稀硫酸的烧杯、加冰块等即可)。

试题详情

27.(14分)

试题详情

26.(6分)

砝码的规格(g)
50
20
20
10
5
使用的顺序
(用1、2、3……表示)
1
2
3
4
5
砝码的添加和取下情况
(用↑、↓表示)
↑↓

↑↓

↑↓

砝码的规格(g)
50
20
20
10
5
使用的顺序
(用1、2、3……表示)
 
1
2
3
4
砝码的添加和取下情况
(用↑、↓表示)
 

↑↓

↑↓

试题详情

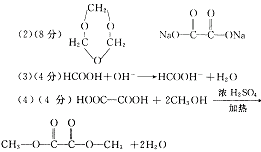
25.(22分)

(1)(6分)羟

试题详情

24.(8分,每空1分)

(1)条件反射 (2)基因(DNA) 染色体 (3)自然选择 生存斗争 (4)适应 预先示警 自我保护

试题详情

23.(16分,每空2分)

(1)种子萌发时需要充足的空气(氧气) 吸胀吸水 (2)①将蚕豆随机分为两组,每组5粒,分别放在盛有等量蒸馏水和烟草浸出液的培养器中②应培养19.8小时以上 打破顶端优势 (3)解离后应用清水充分漂洗根尖后再染色 (4)染色体结构变异和染色体数目变异 (有丝分裂)中

试题详情

1.A 2.C 3.D 4.D 5.B 6.B 7.C 8.B 9.C 10.C 11.D 12.C 13.A 14.B 15.C 16.A 17.B 18.A 19.D 20.D 21.C 22.B

试题详情


同步练习册答案