题目列表(包括答案和解析)

 0  120827  120835  120841  120845  120851  120853  120857  120863  120865  120871  120877  120881  120883  120887  120893  120895  120901  120905  120907  120911  120913  120917  120919  120921  120922  120923  120925  120926  120927  120929  120931  120935  120937  120941  120943  120947  120953  120955  120961  120965  120967  120971  120977  120983  120985  120991  120995  120997  121003  121007  121013  121021  447348 

13.向含0.2mol NaOH和0.1mol Ba(OH)2的溶液中持续稳定地通入6.72L(已换算成标准状况)CO2气体。下列表示溶液中离子的物质的量与通过CO2的体积关系的图象中,符合题意的是(气体的溶解和离子的水解都忽略不计)                    (   )

 

试题详情

12.对反应14CuSO4+5FeS2+12H2O=7Cu2S+5FeSO4+12H2SO4,下列结论中正确的是(   )

    A.只有CuSO4作氧化剂

    B.FeS2只作还原剂

    C.被氧化的硫和被还原的硫的质量之比为3:7

    D.1mol CuSO4可以氧化硫元素

试题详情

11.某“多肽”,其化学式为C35H42O7N6,已知将它彻底水解后只得到三种氨基酸,甘氨酸(C2H5NO2)、丙氨酸(C3H7NO2)、苯丙氨酸(C9N11NO2),则该“多肽”中含苯丙氨酸的个数为               (   )

    A.2             B.3             C.4             D.5

试题详情

10.香烟烟雾中含有CO、CO2、SO2、H2O等气体,用①无水CuSO4、②澄清石灰水、③红热CuO、④生石灰、⑤品红溶液、⑥酸性高锰酸钾等药品可将其一一检出,检测时使用药品的正确顺序(设待检气体为G)是        (   )

    A.G→①→⑤→②→①→④→③

    B.G→③→④→②→⑤→⑤→①

    C.G→①→⑤→⑥→②→④→③

    D.G→②→⑤→①→④→③

试题详情

9.两种元素A和M,已知A位于短周期,且A2+与M-的电子数之差为8,则下列说法中正确的是             (   )

    A.A和M的原子序数之差为6

    B.A和M原子的最外层电子数之和为9

    C.A和M原子的最外层电子数之差为7

    D.A和M原子的电子总数之和可能为11

试题详情

8.氢氧燃料电池用于航天飞船,电极反应产生的水经冷凝后可作为航天员的饮用水,其电极反应如下:

    负极:2H2+4OH--4e=4H2O   正极:O2+2H2O+4e=4OH-

   当得到1.8L饮用水时(按水的密度1g·cm-3计算),电池内转移电子的物质的量约为(  )

    A.1.8mol         B.3.6mol         C.100mol        D.200mol

试题详情

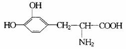
7.L-多巴是一种治疗帕金森氏综合症的药物,其结构简式如下:

   

下列关于L-多巴性质的推断中正确的是                                  (   )

    A.不可能形成高分子化合物

    B.不能跟浓溴水发生取代反应

    C.不易被氧化剂氧化

    D.能跟氢氧化钠溶液反应

试题详情

6.我国西部大片的耕作区将退耕。若将大面积的退耕地封闭起来,随着时间的推移,将会发生一系列的生态演替。下面列举的情况中除……外,均是未来生态演替的趋势。(   )

    A.营养级的数目增加

    B.每年同化的太阳能增加

    C.群落的结构复杂化

    D.非生物的有机质(生物的遗体或脱落物)减少

试题详情

4.下列关于基因工程的叙述,正确的是                                 (   )

    A.基因工程经常以对抗菌素的抗性基因为目的基因

    B.细菌质粒是基因工程最常用的运载体

    C.通常选用不同的限制性内切酶分别处理含目的基因的DNA和运载体DNA

    D.为育成抗除草剂的作物新品种,导入抗除草剂基因时只能以受精卵为受体

  5.科学工作者分离得到了某真核生物的基因A,将其解离成两条具有互补关系的单链,其中的一条与基因A的信使RNA进行配对,杂交后可以观察到如图2所示的结构,对此结果的合理解释是(   )

    A.1、3、5、7为DNA/RNA的杂交体,2、4、6为单链DNA部分

    B.1、3、5、7为DNA/RNA的杂交体,2、4、6为单链RNA部分

    C.1、3、5、7为双链DNA部分,2、4、6为DNA/RNA的杂交体

    D.1、3、5、7为单链RNA部分,2、4、6为DNA/RNA的杂交体

试题详情

3.下面是对高等动物通过减数分裂形成的♀、♂配子以及受精作用的描述,其中正确的是(   )

    A.每个卵细胞继承了初级卵母细胞1/4的细胞质

    B.等位基因进入卵的机会并不相等,因为一次减数分裂只形成一个卵

    C.进入卵细胞并与之融合的精子几乎不携带细胞质

    D.♀、♂配子彼此结合的机会相等,因为它们的数量相等

试题详情


同步练习册答案