题目列表(包括答案和解析)

 0  120806  120814  120820  120824  120830  120832  120836  120842  120844  120850  120856  120860  120862  120866  120872  120874  120880  120884  120886  120890  120892  120896  120898  120900  120901  120902  120904  120905  120906  120908  120910  120914  120916  120920  120922  120926  120932  120934  120940  120944  120946  120950  120956  120962  120964  120970  120974  120976  120982  120986  120992  121000  447348 

24.(20分)对于两物体碰撞前后速度在同一直线上,且无机械能损失的碰撞过程,可以简化为如下模型:A、B两物体位于光滑水平面上,仅限于沿同一直线运动。涨它们之间的距离大于等于某一定值d时.相互作用力为零:当它们之间的距离小于d时,存在大小恒为F的斥力。

     设A物休质量m1=1.0kg,开始时静止在直线上某点;B物体质量m2=3.0kg,以速度v0从远处沿该直线向A运动,如图所示。若d=0.10m, F=0.60N,v0=0.20m/s,求:

(1)相互作用过程中A、B加速度的大小;

(2)从开始相互作用到A、B间的距离最小时,系统(物体组)动能的减少量;

  (3)A、B间的最小距离。

试题详情

23.(18分)如图1所示,两根足够长的直金属导轨MN、PQ平行放置在倾角为θ的绝缘斜面上,两导轨间距为L0、M、P两点间接有阻值为R的电阻。一根质量为m的均匀直金属杆ab放在两导轨上,并与导轨垂直。整套装置处于磁感应强度为B的匀强磁场中,磁场方向垂直斜面向下,导轨和金属杆的电阻可忽略。让ab杆沿导轨由静止开始下滑,导轨和金属杆接触良好,不计它们之间的摩擦。

(1)由b向a方向看到的装置如图2所示,请在此图中画出ab杆下滑过程中某时刻的受力示意图;

(2)在加速下滑过程中,当ab杆的速度大小为v时,求此时ab杆中的电流及其加速度的大小;

(3)求在下滑过程中,ab杆可以达到的速度最大值。

 

试题详情

22.(18分)为了测定电流表A1的内阻,采用如图1所示的电路。

其中:A1是待测电流表,量程为300μA内阻约为100Ω;

A2是标准电流表,量程是200μA;

R1是电阻箱,阻值范围0~999.9Ω;

R2是滑动变阻器;R3是保护电阻

E是电池组,电动势为4V,内阻不计;

S1是单刀单掷开关,S2是单刀双掷开关。

  (1)根据电路图1,请在图2中画出连线,将器材连接成实验电路.

  (2)连接好电路,将开关S2扳到接点a处,接通开关S1,调整滑动变阻器R2使电流表A2的读数是150μA;然后将开关S2扳到接点b处,,保持R2不变,调节电阻箱R1,使A2的读数仍为150μA。若此时电阻箱各旋钮的位置哪图3所示,电阻箱R1的阻值是     Ω,则待测电流表

A1的内阻R3=       Ω。

(3)上述实验中,无论怎样调整滑动变阻器R2的滑动端位置,都要保证两块电流表的安全。在下面提供的四个电阻中,保护电阻R3应选用:         (填写阻值相应的字母)。

     A.200KΩ      B.20KΩ         C.15KΩ         D.20Ω

(4)下面提供最大阻值不同的四个滑动变阻器供选用。即要满足上述实验要求,又要调整方便,滑动变阻器         (填写阻值相应的字母)。

    A.1kΩ          B.5kΩ          C.10kΩ         D.25kΩ

试题详情

20.1990年5月,紫金山天文台将他们发现的第2752号小行星命名为昊键雄星,该小行星的半径为16km。若将此小行星和地球均看成质量分布均匀的球体,小行星密度与地球相同。已知地球半径R=6400km,地球表面重力加速度为g。这个小行星表面的重力加速度为

                                                                (   )

    A.400g          B.g         C.20g           D.g

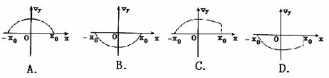
  21.静电透镜是利用静电场使电子束会聚或发散的一种装置,其中某部分静电场的分布如下图所示。虚线表示这个静电场在xoy平面内的一簇等势线,等势线形状相对于ox轴、oy轴对称。等势线的电势沿x轴正向增加,且相邻两等势线的电势差相等。一个电子经过P点(其横坐标为-x0)时,速度与ox轴平行。适当控制

实验条件,使该电子通过电场区域时仅在ox轴

上方运动。在通过电场区域过程中,该电子沿y

方向的分速度v,随位置坐标x变化的示意图是(   )

 

第Ⅱ卷(非选择题 共10题 共174分)

试题详情

17.氦原子被电离一个核外电子,形成类氢结构的氦离子。已知基态的氦离子能量为E1=-54.4eV,氦离子能级的示意图如图所示。在具有下列能量的光子中,不能被基态氦离子吸收而发生跃迁的是        E5   0   (   )

    A.40.8eV                        E4         3.4eV

    B.43.2ev                         E3         6.0eV

    C.51.0eV                        E2         13.6eV

    D.54.4eV                        E1         54.4eV

  18.已知一束可见光a是由m、n、p三种单色光组成的。检测发现三种单色光中,n、p两种色光的频率都大于m色光;n色光能使某金属发生光电效应,而p色光不能使该金属发生光电效应。那么,光束a通过三棱镜的情况是     (   )

  19.如图所示,正方形区域abcd中充满匀强磁场,磁场方向垂直纸面向里。一个氢核从ad边的中点m沿着既垂直于ad边又垂直于磁场的方向,以一定速度射入磁场,正好从ab边中点n射出磁场。若将磁场的磁感应强度变为原来的2倍.其他条件不变,则这个氢核射出磁场的位置是                                  (   )

    A.在b、n之间某点

    B.在n、a之间某点

    C.a点

    D.在a、m之间某点

试题详情

16.声波属于机械波。下列有关声波的描述中正确的是                      (   )

    A.同一列声波在各种介质中的波长是相同的

    B.声波的频率越高,它在空气中传播的速度越快

    C.声波可以绕过障碍物传播,即它可以发生衍射

    D.人能辨别不同乐器同时发出的声音,证明声波不会发生干涉

试题详情

15.下列说法正确的是                                              (   )

    A.外界对气体做功,气体的内能一定增大

    B.气体从外界只收热量,气体的内能一定增大

    C.气体的温度越低,气体分子无规则运动的平均动能越大

    D.气体的温度越高,气体分子无规则运动的平均动能越大

试题详情

14.在一定温度下,一定体积的密闭容器中有如下平衡:H2(气)+I2(气)     2HI(气)。

   已知H2和I2的起始浓度均为0.10mol·L-1时,达平衡时HI的浓度为0.16 mol·L-1,若H2和I2的起始浓度均为0.20 mol·L-1时,则平衡时H2的浓度(mol·L-1)是(   )

    A.0.16          B.0.08           C.0.04           D.0.02

试题详情

13.20℃时,饱和KCl溶液的密度为1.174g·cm-3,物质的量浓度为4.0mol·L-1,则下列说法中不正确的是                           (   )

    A.25℃时,饱和KCl溶液的浓度大于4.0 mol·L-1

    B.此溶液中KCl的质量分数为

    C.20℃时,密度小于1.174g·cm-3的KCl溶液是不饱和溶液

    D.将此溶液蒸发部分水,再恢复到20℃时,溶液密度一定大于1.174g·cm-3

试题详情

12.从矿物学资料查得,一定 条件下自然界存在如下反应:

   14CuSO­4+5FeS2+12H2O====7Cu2S+5FeSO4+12H2SO4.下列说法正确的是       (   )

    A.Cu2S既是氧化产物又是还原产物

    B.5molFeS2发生反应,有10mol电子转移

    C.产物中的SO42离子有一部分是氧化产物

    D.FeS2只作还原剂

试题详情


同步练习册答案