题目列表(包括答案和解析)

 0  120879  120887  120893  120897  120903  120905  120909  120915  120917  120923  120929  120933  120935  120939  120945  120947  120953  120957  120959  120963  120965  120969  120971  120973  120974  120975  120977  120978  120979  120981  120983  120987  120989  120993  120995  120999  121005  121007  121013  121017  121019  121023  121029  121035  121037  121043  121047  121049  121055  121059  121065  121073  447348 

7.分子式为C4H9Cl的同分异构体有                                    (   )

    A.1种           B.2种          C.3种           D.4种

试题详情

6.下列有关溶液性质的叙述,正确的是                                 (   )

    A.室温时饱和的二氧化碳水溶液,冷却到0℃时会放出一些二氧化碳气体

    B.20℃,100g水可溶解34.2g KCl,此时KCl 饱和溶液的质量分数为34.2%

    C.强电解质在水中溶解度一定大于弱电解质

    D.相同温度下,把水面上的空气换成相同压力的纯氧,100g水中溶入氧气的质量增加

试题详情

5.在恒温时,一固定容积的容器内发生如下反应:2NO2(g)    N2O4(g)

  达平衡时,再向容器内通入一定量的NO2(g),重新达到平衡后,与第一次平衡时相比,

    NO2的体积分数                                                 (   )

    A.不变           B.增大         C.减小           D.无法判断

试题详情

4.把Ba(OH)2溶液滴入明矾溶液中,使SO全部转化成BaSO4沉淀,此时铝元素的主要存

    在形式是                                                      (   )

    A.Al3+                      B.Al(OH)3       C.AlO          D.Al3+和Al(OH)3

试题详情

3.pH相同的盐酸和醋酸两种溶液中,它们的                             (   )

    A.H+的物质的量相同               B.物质的量浓度相同

    C.H+的物质的量浓度不同            D.H+的物质的量浓度相同

试题详情

2.上世纪80年代后期人们逐渐认识到,NO在人体内起着多方面的重要生理作用。下列关

    于NO的说法不正确的是                                          (   )

    A.NO分子中有极性共价键           B.NO是造成光化学烟雾的因素之一

    C.NO是汽车尾气的有害成分之一      D.NO分子所含电子总数为偶数

试题详情

1.下列各组物质中,互为同位素的是                                   (   )

    A.重氢、超重氢                   B.氧、臭氧

    C.红磷、白磷                     D.乙酸、丙酸

试题详情

26.(10分)石油化工是江苏省的支柱产业之一。聚氯乙烯是用途十分广泛的石油化工产品,某化工厂曾利用下列工艺生产聚氯乙烯的单体氯乙烯:

   CH2=CH2+Cl2  →CH2CI-CH2C1…………………①

   CH2CI-CH2C1→CH2=CHCl+HCl………………②

  请回答以下问题:

(1)已知反应①中二氯乙烷的产率(产率=×100%)为98%,反应②中氯乙烯和氯化氢的产率均为95%,则2.8t乙烯可制得氯乙烯   t,同时得到副产物氯化氢   t。(计算结果保留1位小数)

(2)为充分利用副产物氯化氢,该工厂后来将下列反应运用于生产:

   2CH2=CH2+4HCl+02→2 CH2CI-CH2C1+2H20………-③

   由反应①、③获得二氯乙烷,再将二氯乙烷通过反应②得到氯乙烯和副产物氯化氢,副产物氯化氢供反应③使用,形成了新的工艺。

由于副反应的存在,生产中投入的乙烯全部被消耗时,反应①、③中二氯乙烷的产率依次为a%、c%;二氯乙烷全部被消耗时,反应②中氯化氢的产率为b%。试计算:反应①、③中乙烯的投料比为多少时,新工艺既不需要购进氯化氢为原料,又没有副产物氯化氢剩余(假设在发生的副反应中既不生成氯化氢,也不消耗氯化氢)。

试题详情

25.(8分)某结晶水合物含有两种阳离子和一种阴离子。称取两份质量均为1.96g的该结晶水合物,分别制成溶液。一份加入足量Ba(OH)2溶液,生成白色沉淀,随即沉淀变为灰绿色,最后带有红褐色;加热该混合物,逸出能使湿润的红色石蕊试纸变蓝的气体;用稀盐酸处理沉淀物,经洗涤和干燥,得到白色固体2.33 g。另一份加入含0.001 molKMnO4的酸性溶液,MnO4-恰好完全被还原为Mn2+

   请回答以下问题:

(1)该结晶水合物中含有的两种阳离子是           ,阴离子是    

(2)试通过计算确定该结晶水合物的化学式。

试题详情

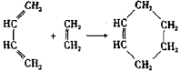
24.(10分)环己烯可以通过丁二烯与乙烯发生环化加成反应得到:

 (也可表示为:+║→)

    丁二烯   乙烯   环已烯

实验证明,下列反应中反应物分子的环外双键比环内双键更容易被氧化:

仅以丁二烯为有机原料,无机试剂任选,按下列途径合成甲基环己烷:

   

   请按要求填空:

 (1)A的结构简式是           ;B的结构简式是         

 (2)写出下列反应的化学方程式和反应类型:

反应④            ,反应类型    反应⑤         

反应类型   

试题详情


同步练习册答案